Letztes “update” :
27/01/2026
Verschiedenes   Baclofen  
Lösung zum Einnehmen
Injektion Salben
Stabilität von pharmazeutischen Präparaten Gemengestabilität Stabilitätbeeinflussende Faktoren Kompatibilitäten Literaturverzeichnis pdf
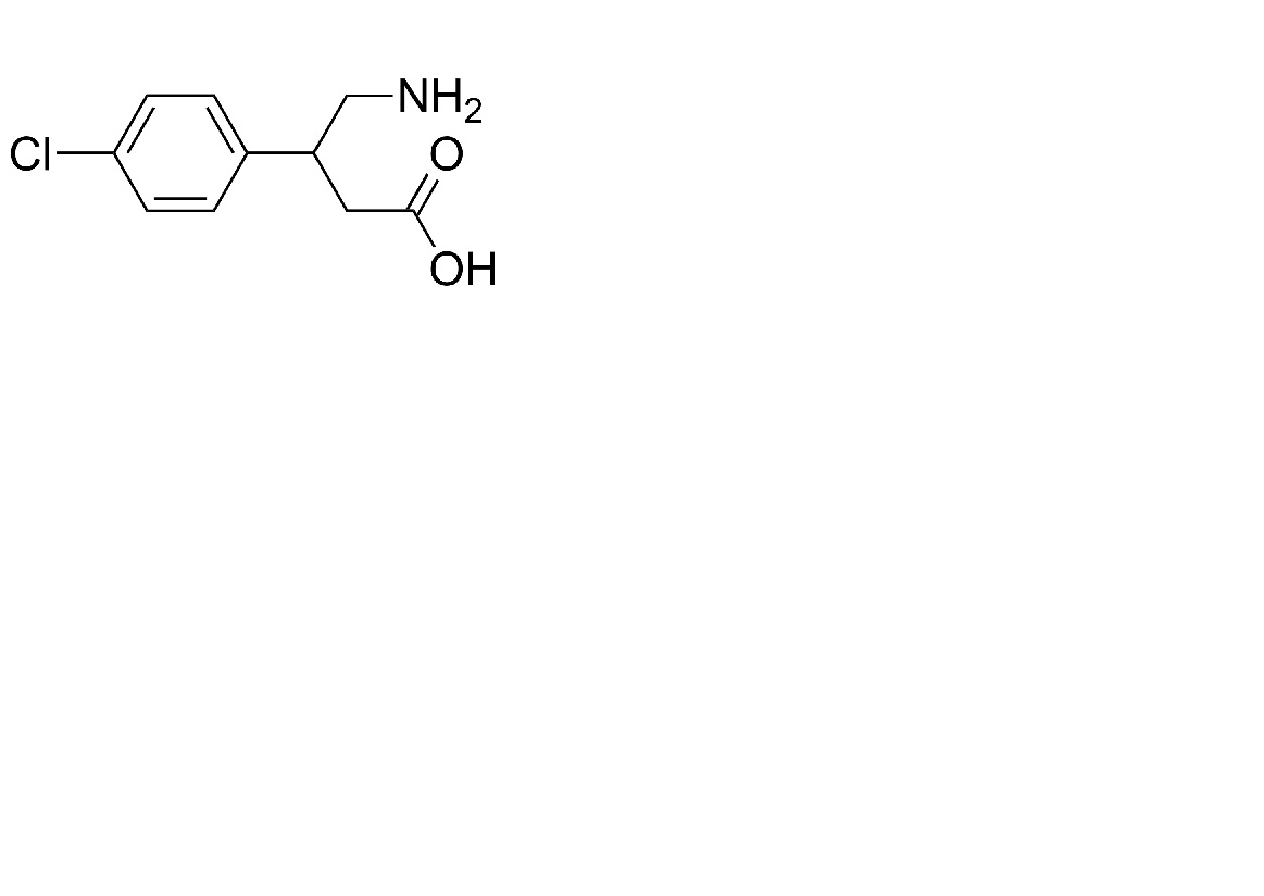
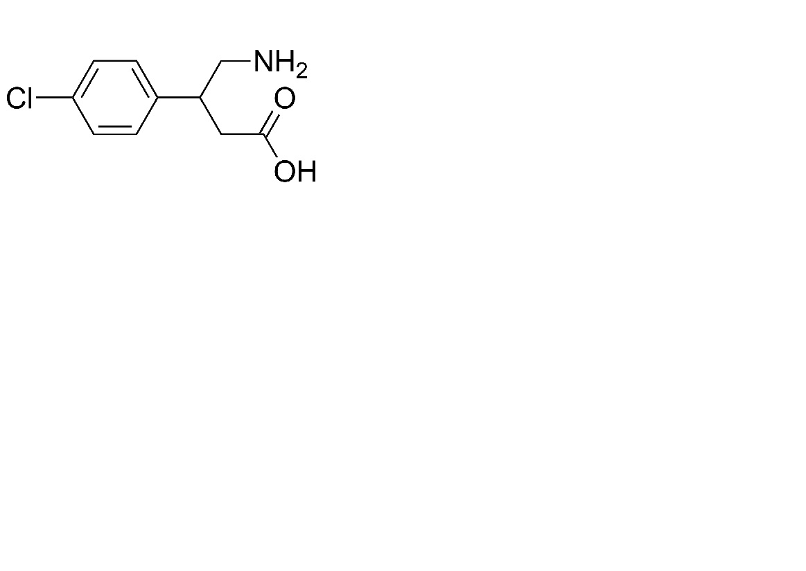
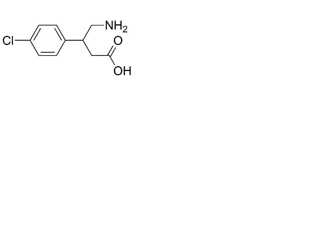
   Chemische Struktur  

Lösung zum Einnehmen
Kompatibilitäten   Lösung zum Einnehmen   Kompatibilitäten : Baclofen              
Keine Daten

  Mentions Légales