zadnja posodobitev :
27/01/2026
Različen   Baclofen  
Peroralna raztopina
Brizgalka Mazila
Stabilnost farmacevtskih preparatov Stabilnost mešanice Faktorji, ki vplivajo na stabilnost Kompatibilnost Viri pdf
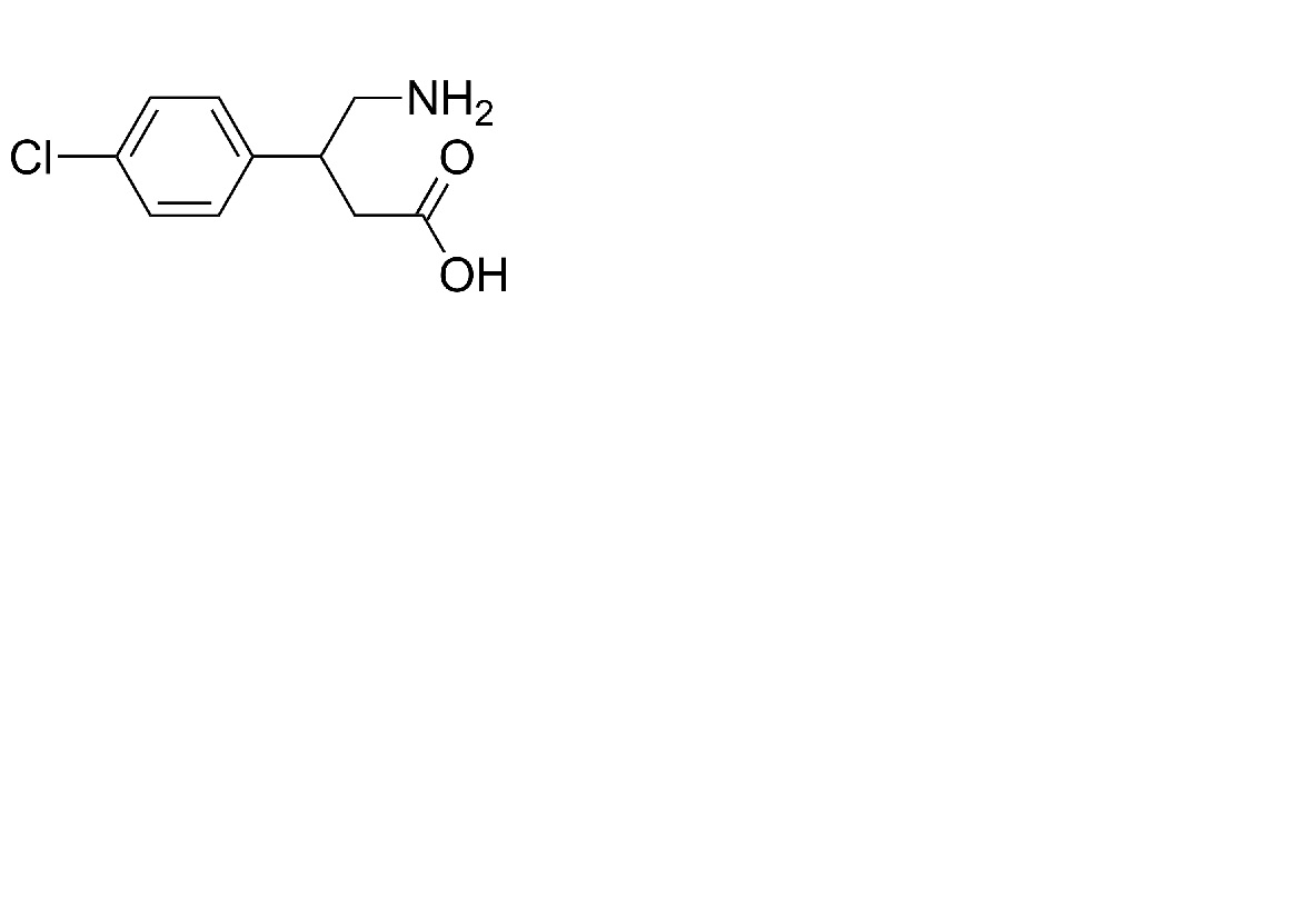
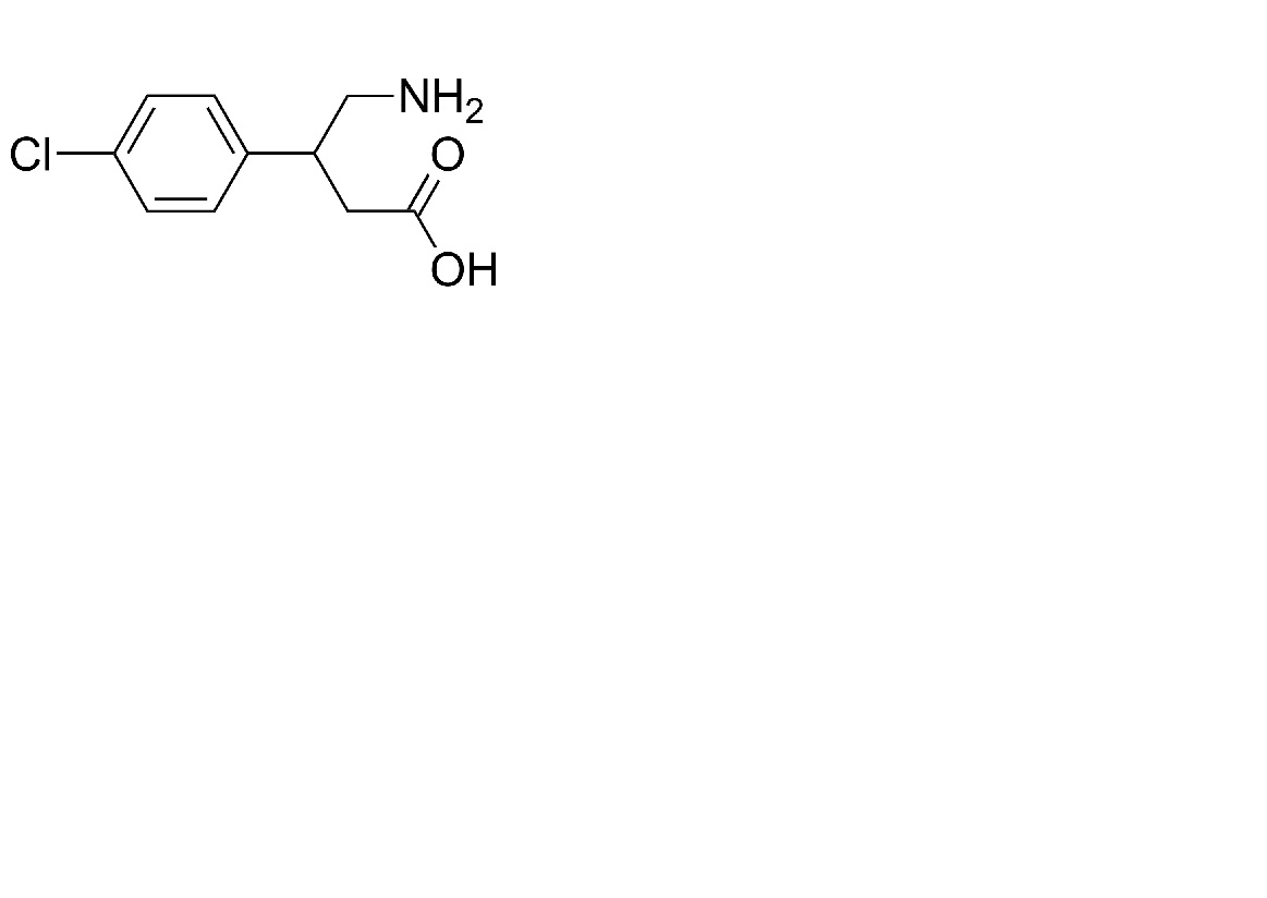
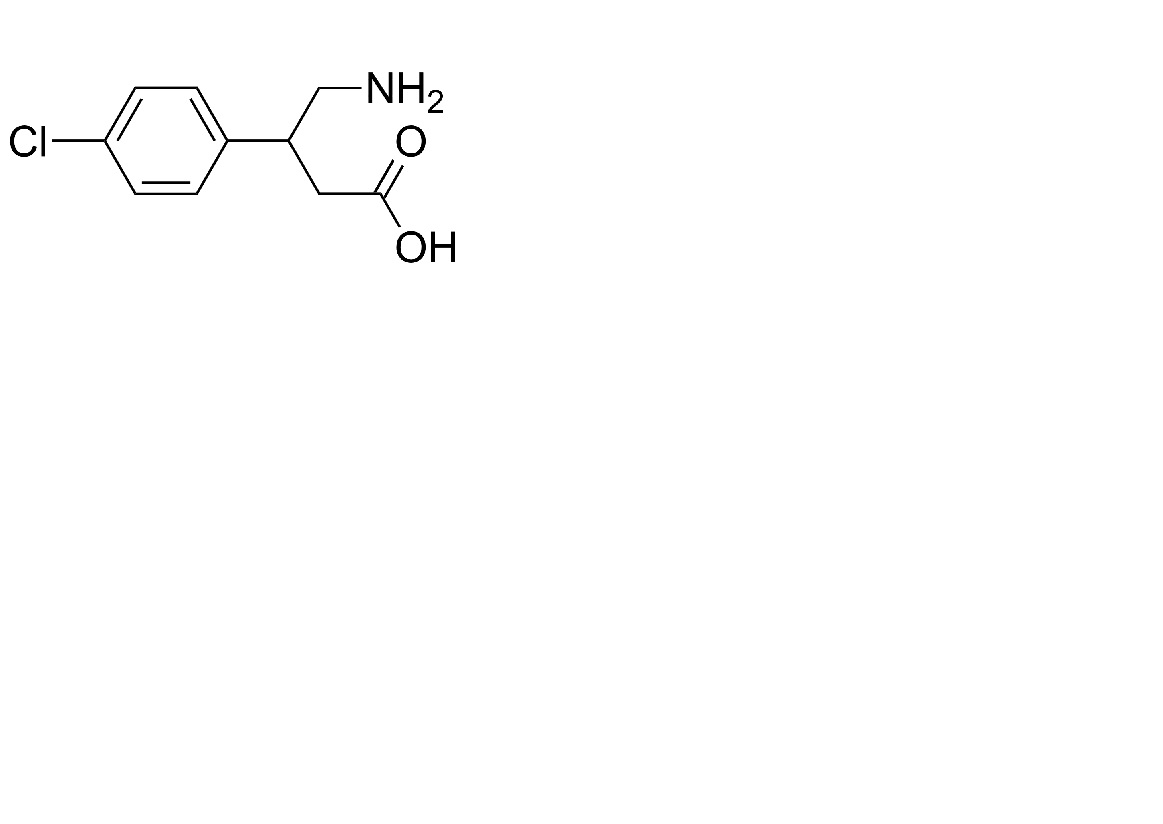
   Kemična formula  

Peroralna raztopina
Kompatibilnost   Peroralna raztopina   Kompatibilnost : Baclofen              
ni podatka

  Mentions Légales