Dernière mise à jour :
27/01/2026
Divers   Baclofen  
Solution buvable
Forme dermique injectable
Stabilité des préparations Stabilité en mélange Facteur influençant la stabilité Compatibilités Bibliographie pdf
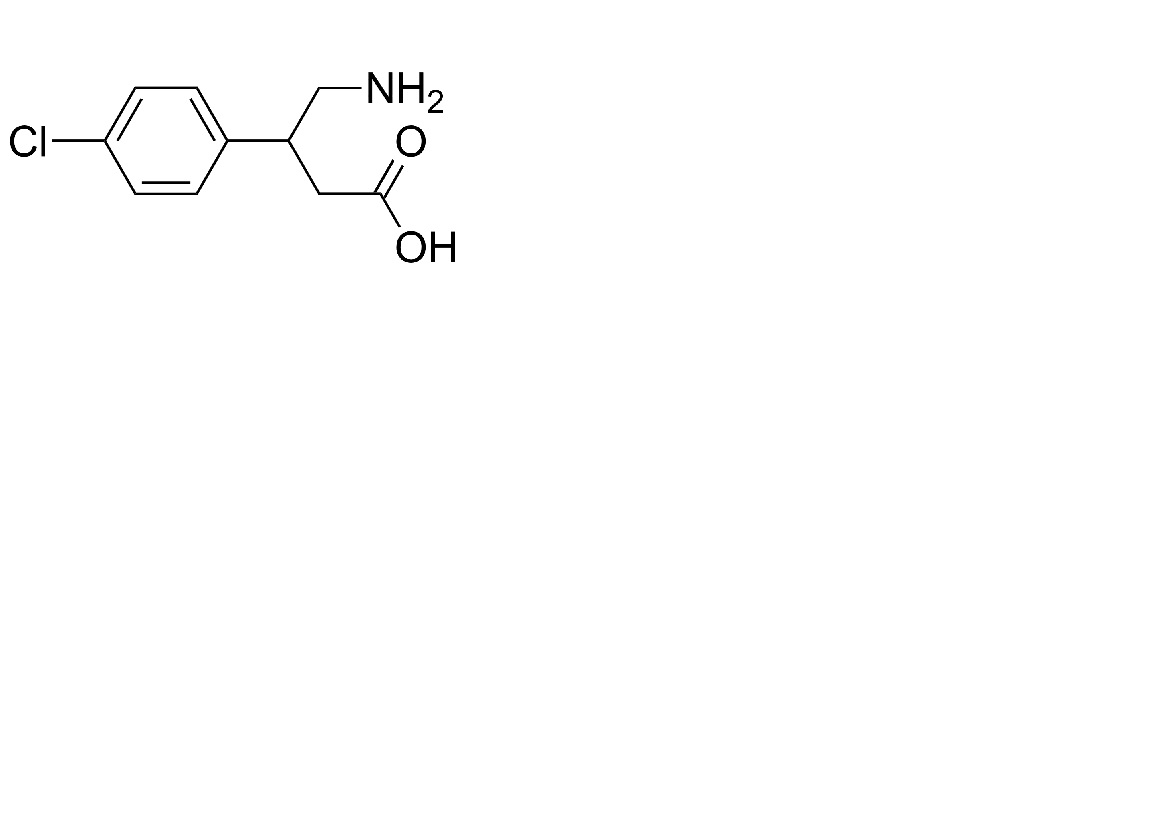
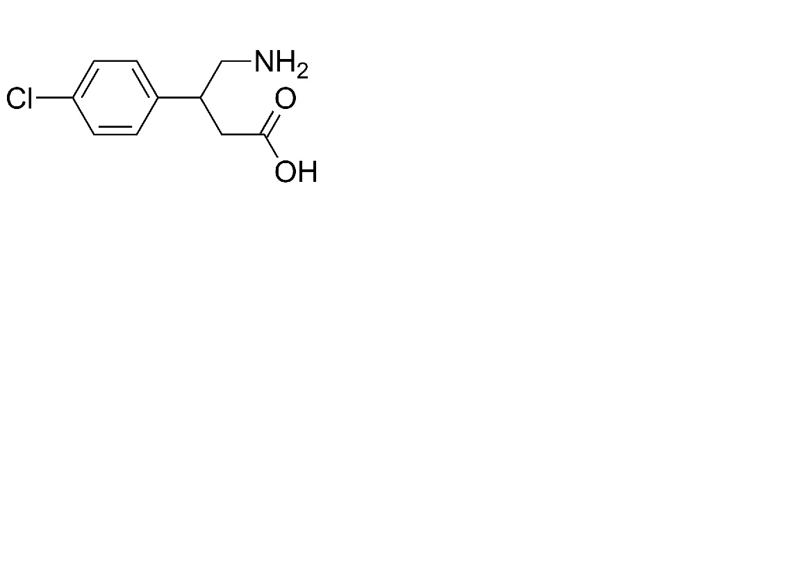
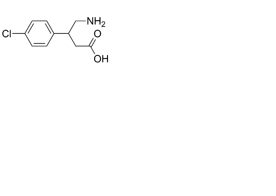
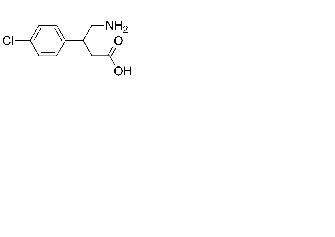
   Structure chimique  

Solution buvable
Compatibilités   Solution buvable   Compatibilités : Baclofen              
Aucune donnée

  Mentions Légales