Laatste update :
27/04/2026
Diverse   Baclofen  
Orale Oplossing
injecteerbaar geneesmiddel zalf
Stabiliteit van farmaceutische preparaten Stabiliteit in mengsels Factoren die de stabiliteit beïnvloeden Verenigbaarheden Literatuur pdf
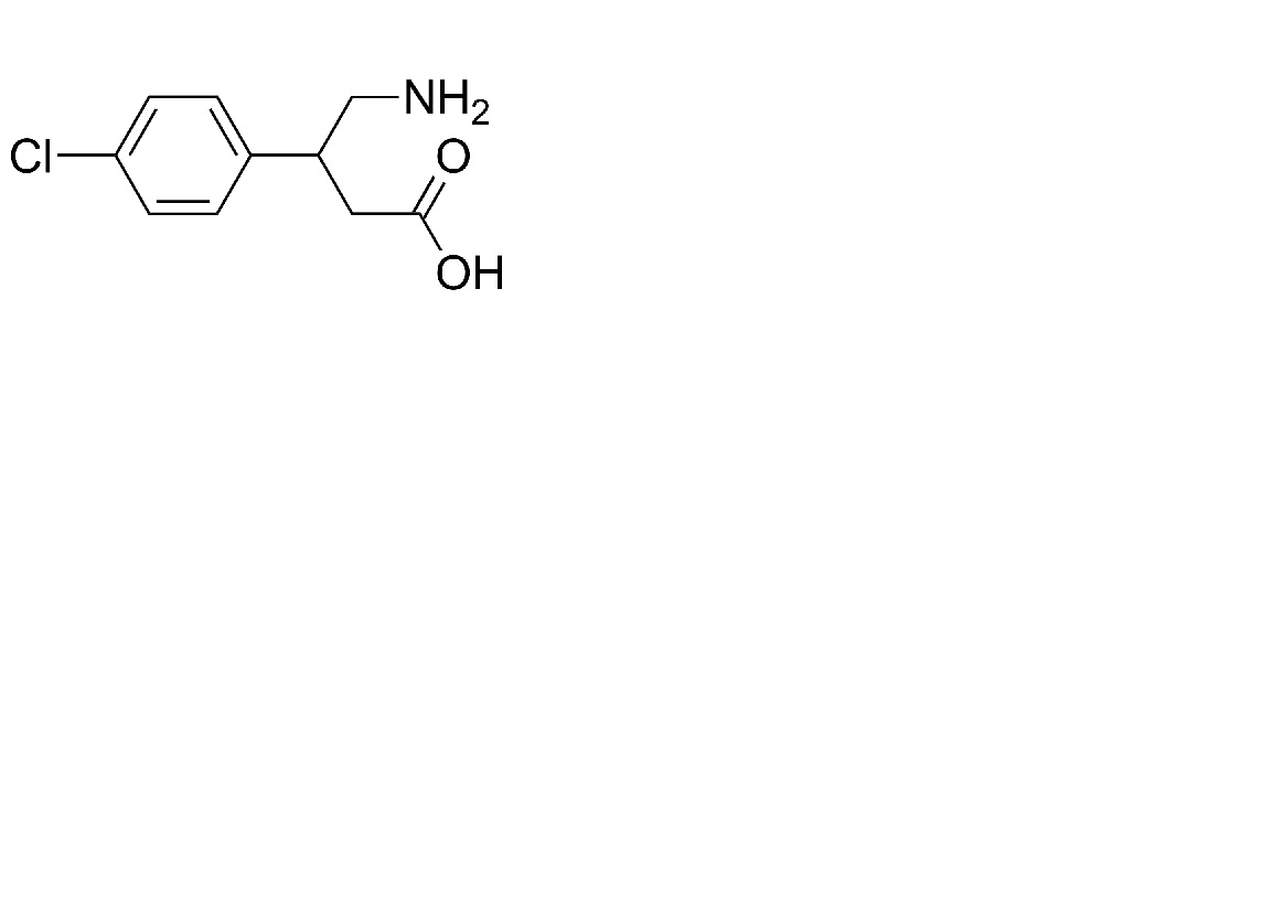
   Molecuulstructuur  

Orale Oplossing
Verenigbaarheden   Orale Oplossing   Verenigbaarheden : Baclofen              
geen gegevens

  Mentions Légales