آخر تحديث :
27/01/2026
مختلف   Baclofen  
عن طريق الفم
المراهم حقن
استقرار المستحضرات الصيدلانية استقرار مخاليط العوامل التي تؤثر على الاستقرار التوافق مراجع pdf
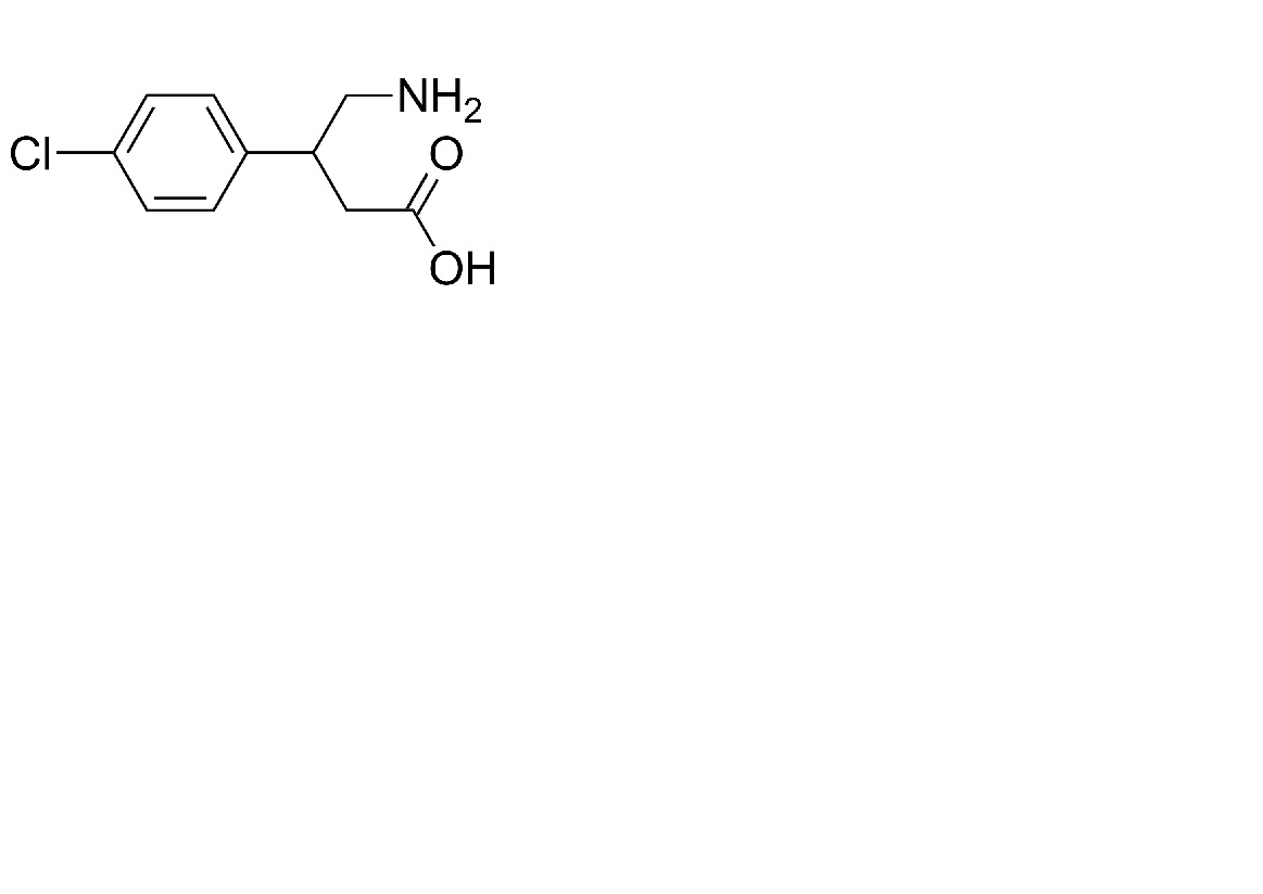
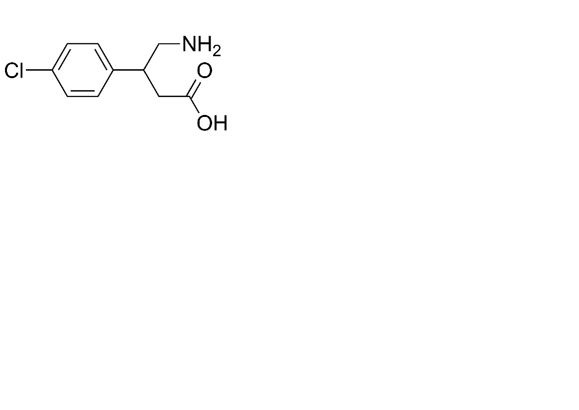
   التركيب الكيميائي  

عن طريق الفم
التوافق   عن طريق الفم     التوافق : Baclofen              
لا توجد بيانات

  Mentions Légales