Son güncelleme :
27/01/2026
Antihipertansif   Enalapril maleate  
Oral solüsyon / oral çözelti
Farmasötik preparatlar Kararlılığı Karışımlardaki stabilitesi Stabiliteyi etkileyen faktörler Uyumluluk Kaynaklar pdf
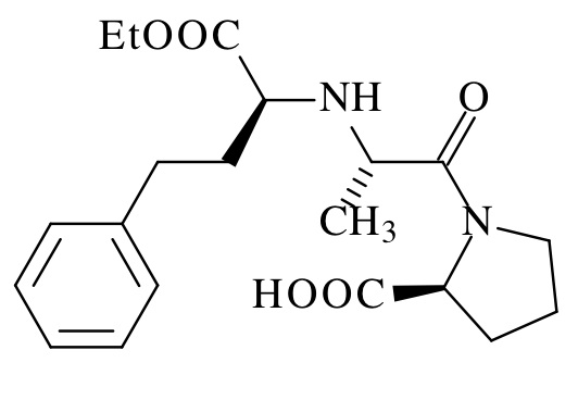
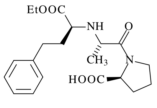
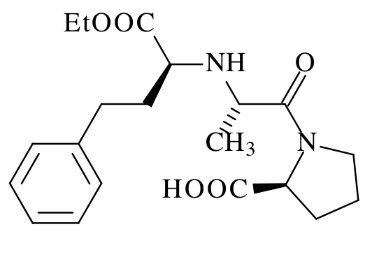
   Kimyasal yapı   

Oral solüsyon / oral çözelti

Stabiliteyi etkileyen faktörler    Oral solüsyon / oral çözelti   Stabiliteyi etkileyen faktörler : Enalapril maleate        
Kaynaklar
Isı Artış İndükler Parçalanma 2561
pH pH = 3 İndükler Stabilitede artış 2561

  Mentions Légales