Dernière mise à jour :
27/01/2026
Antihypertenseur   Enalapril maleate  
Solution buvable
Stabilité des préparations Stabilité en mélange Facteur influençant la stabilité Compatibilités Bibliographie pdf
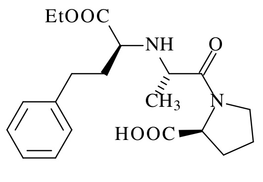
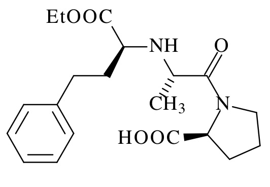
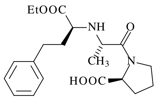
   Structure chimique  

Solution buvable

Facteur influençant la stabilité   Solution buvable   Facteur influençant la stabilité : Enalapril maleate        
Bibliographie
Température Augmentation Provoque Dégradation 2561
pH pH = 3 Provoque Augmentation stabilité 2561

  Mentions Légales