最新更新 :
27/01/2026
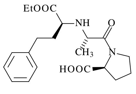
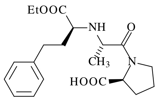
降圧药   Enalapril maleate  
口服剂
制剂的稳定性 混合物稳定性 影响稳定性的因素 兼容性 引用文献 PDF
   化学式  

口服剂

影响稳定性的因素   口服剂   影响稳定性的因素 : Enalapril maleate        
引用文献
温度 增加 诱导 分解 2561
PH PH = 3 诱导 强化稳定性 2561

  Mentions Légales