Última actualização :
27/01/2026
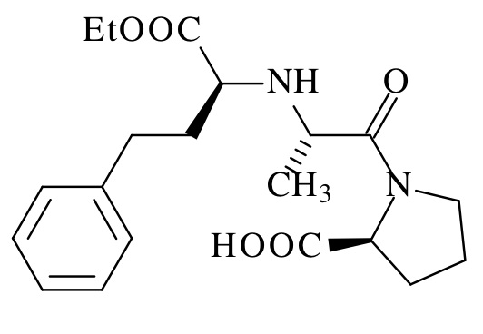
Antihipertensor   Enalapril maleate  
Solução Oral
Estabilidade de preparações farmacêuticas Estabilidade em misturas Factores que afectam a sua estabilidade Compatibilidade Bibliografía pdf
   estrutura química  

Solução Oral

Factores que afectam a sua estabilidade   Solução Oral   Factores que afectam a sua estabilidade : Enalapril maleate        
Bibliografia
temperatura Aumento Provoca Degradação 2561
pH pH = 3 Provoca Aumento da estabilidade 2561

  Mentions Légales