Última actualización :
27/01/2026
Antihipertensor   Enalapril maleate  
Solución Oral
La estabilidad de las preparaciones farmacéuticas Estabilidad en mezcla Factores que influyen sobre la estabilidad Compatibilidades Bibliografía pdf
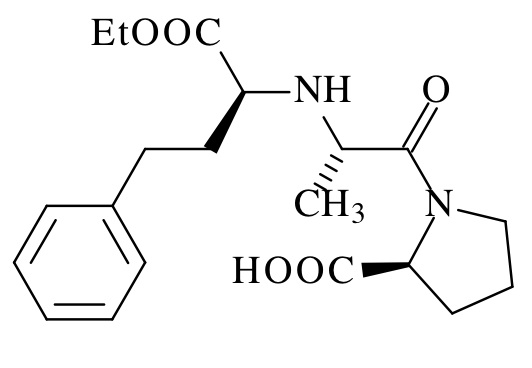
   Estructura química  

Solución Oral

Factores que influyen sobre la estabilidad   Solución Oral   Factores que influyen sobre la estabilidad : Enalapril maleate        
Bibliografía
Temperatura Aumento Provoque Degradación 2561
pH pH = 3 Provoque Aumento de la estabilidad 2561

  Mentions Légales