Pēdējā atjaunošana :
27/01/2026
Antihipertensīvs   Enalapril maleate  
Orāls šķīdums
Stabilitāte farmaceitisko preparātu Maisījuma stabilitāte Stabilitāti ietekmējoši faktori Saderība Literatūras saraksts pdf
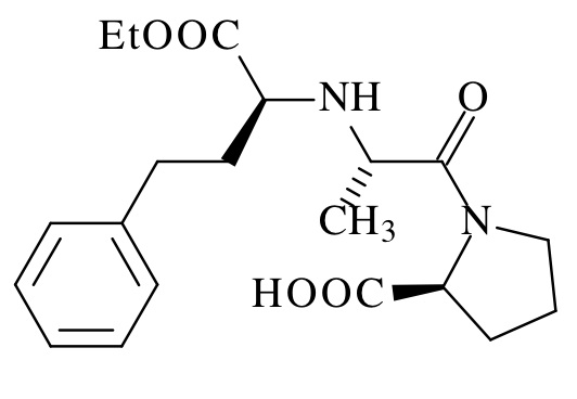
   Ķīmiskā uzbūve   

Orāls šķīdums

Stabilitāti ietekmējoši faktori   Orāls šķīdums   Stabilitāti ietekmējoši faktori : Enalapril maleate        
Literatūras saraksts
Temperatūra Palielināšanās Izraisošs Deģenerācija 2561
pH pH = 3 Izraisošs Uzlabot stabilitāti 2561

  Mentions Légales