Utolsó frissítés :
27/01/2026
Vérnyomáscsökkentő   Enalapril maleate  
belsőleges oldat
Stabilitása gyógyszerészeti készítmények A keverékek stabilitása Stabilitást befolyásoló tényezők Kompatibilitás Irodalom pdf
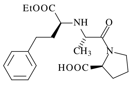
   Kémiai szerkezet   

belsőleges oldat

Stabilitást befolyásoló tényezők   belsőleges oldat   Stabilitást befolyásoló tényezők : Enalapril maleate        
Irodalom
Hőmérséklet Növekedés Előidéz Lebomlás 2561
pH pH = 3 Előidéz Stabilitás  növekedés 2561

  Mentions Légales