Seneste opdatering :
27/01/2026
Antihypertensiv   Enalapril maleate  
Oral opløsning
Stabilitet af farmaceutiske tilberedninger Stabilitet i blandinger Faktorer der påvirker stabiliteten Kompatibilitet Bibliografi pdf
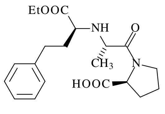
   Kemisk struktur  

Oral opløsning

Faktorer der påvirker stabiliteten   Oral opløsning   Faktorer der påvirker stabiliteten : Enalapril maleate        
Bibliografi
Temperatur Stigning Fremkalde Nedbrydning 2561
pH pH = 3 Fremkalde Øget stabilitet 2561

  Mentions Légales