Last update :
27/01/2026
Antihypertensive   Enalapril maleate  
Oral solution
Stability of pharmaceutical preparations Stability of mixtures Factors which affect stability Compatibility References pdf
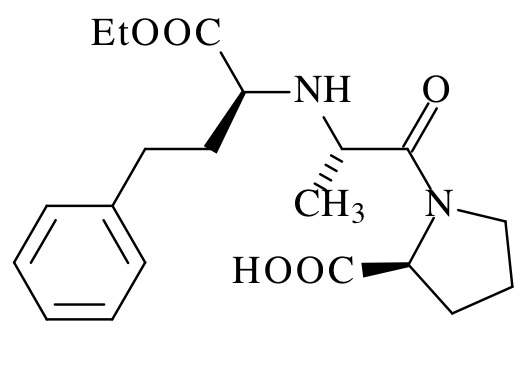
   Chemical structure  

Oral solution

Factors which affect stability   Oral solution   Factors which affect stability : Enalapril maleate        
References
Temperature Increase Induces Degradation 2561
pH pH = 3 Induces Enhanced stability 2561

  Mentions Légales