Последнее обновление :
27/01/2026
Антигипертензивное средство   Enalapril maleate  
Раствор для перорального приёма
Стабильность фармацевтических препаратов Стабильность смесей Факторы, которые влияют на стабильность Совместимость Библиография pdf
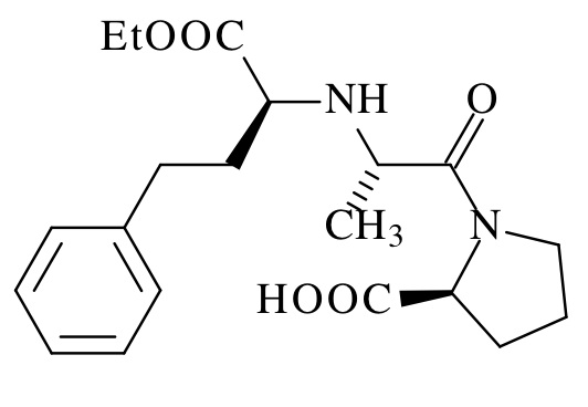
   Химическая структура  

Раствор для перорального приёма

Факторы, которые влияют на стабильность   Раствор для перорального приёма   Факторы, которые влияют на стабильность : Enalapril maleate        
Ссылки
Температура Повышение, увеличение Стимулирует Деградация 2561
pH pH = 3 Стимулирует Стабильность 2561

  Mentions Légales