آخر تحديث :
27/01/2026
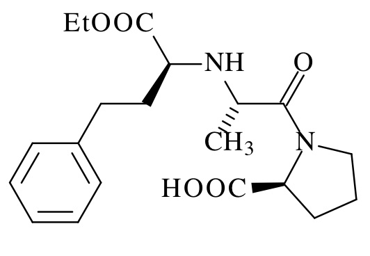
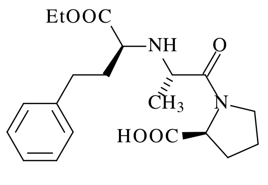
أدويه مخفضه للضغط   Enalapril maleate  
عن طريق الفم
استقرار المستحضرات الصيدلانية استقرار مخاليط العوامل التي تؤثر على الاستقرار التوافق مراجع pdf
   التركيب الكيميائي  

عن طريق الفم

العوامل التي تؤثر على الاستقرار   عن طريق الفم     العوامل التي تؤثر على الاستقرار : Enalapril maleate        
مراجع
درجة الحرارة زيادة الحث انحلال 2561
pH pH = 3 الحث تعزيز الاستقرار 2561

  Mentions Légales