Ostatnia aktualizacja :
27/01/2026
Lek przeciwnadciśnieniowy   Enalapril maleate  
Roztwór doustny
Stabilność preparatów farmaceutycznych Trwałość w mieszaninie Czynnik wpływający na trwałość Zgodność Bibliografia pdf
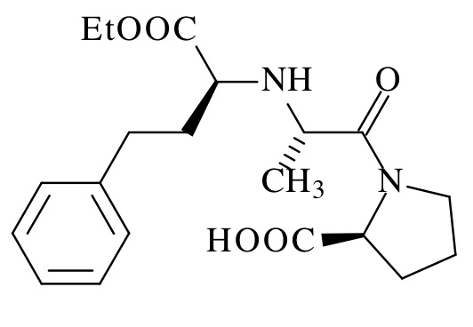
   Struktura chemiczna  

Roztwór doustny

Czynnik wpływający na trwałość   Roztwór doustny   Czynnik wpływający na trwałość : Enalapril maleate        
Bibliografia
Temperatura Zwiększenie Wywołuje Degradacja 2561
pH pH = 3 Wywołuje Wzmożona stabilność 2561

  Mentions Légales