Zadnji put ažurirano :
27/01/2026
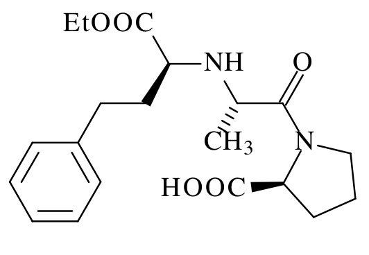
antihipertenzor   Enalapril maleate  
oralna otopina
Stabilnost farmaceutskih pripravaka Stabilnost mješavine Stabilizacijski faktor Kompatibilnosti Bibliografija pdf
   Kemijska struktura  

oralna otopina

Stabilizacijski faktor   oralna otopina     Stabilizacijski faktor : Enalapril maleate        
Bibliografija
temperatura povišenje izaziva Degradacija 2561
pH pH = 3 izaziva Pojačana stabilnost 2561

  Mentions Légales