Τελευταία ενημέρωση :
27/01/2026
Αντιϋπερτασικό   Enalapril maleate  
Πόσιμο διάλυμα
Σταθερότητα και συμβατότητα των φαρμάκων Σταθερότητα σε μίγματα Παράγοντας που επηρεάζει τη σταθερότητα Συμβατότητες Βιβλιογραφία pdf
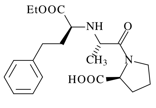
   χημική δομή  

Πόσιμο διάλυμα

Παράγοντας που επηρεάζει τη σταθερότητα   Πόσιμο διάλυμα   Παράγοντας που επηρεάζει τη σταθερότητα : Enalapril maleate        
Βιβλιογραφία
Θερμοκρασία Αύξηση Προκαλεί Αποδόμηση 2561
pH pH = 3 Προκαλεί Ενισχυμένη σταθερότητα 2561

  Mentions Légales