Son güncelleme :
27/01/2026
Antibiyotik   Daptomycin  
Enjeksiyon
Çözeltilerin stabilitesi Karışımlardaki stabilitesi Stabiliteyi etkileyen faktörler Uyumluluk Uygulama yöntemi Kaynaklar pdf
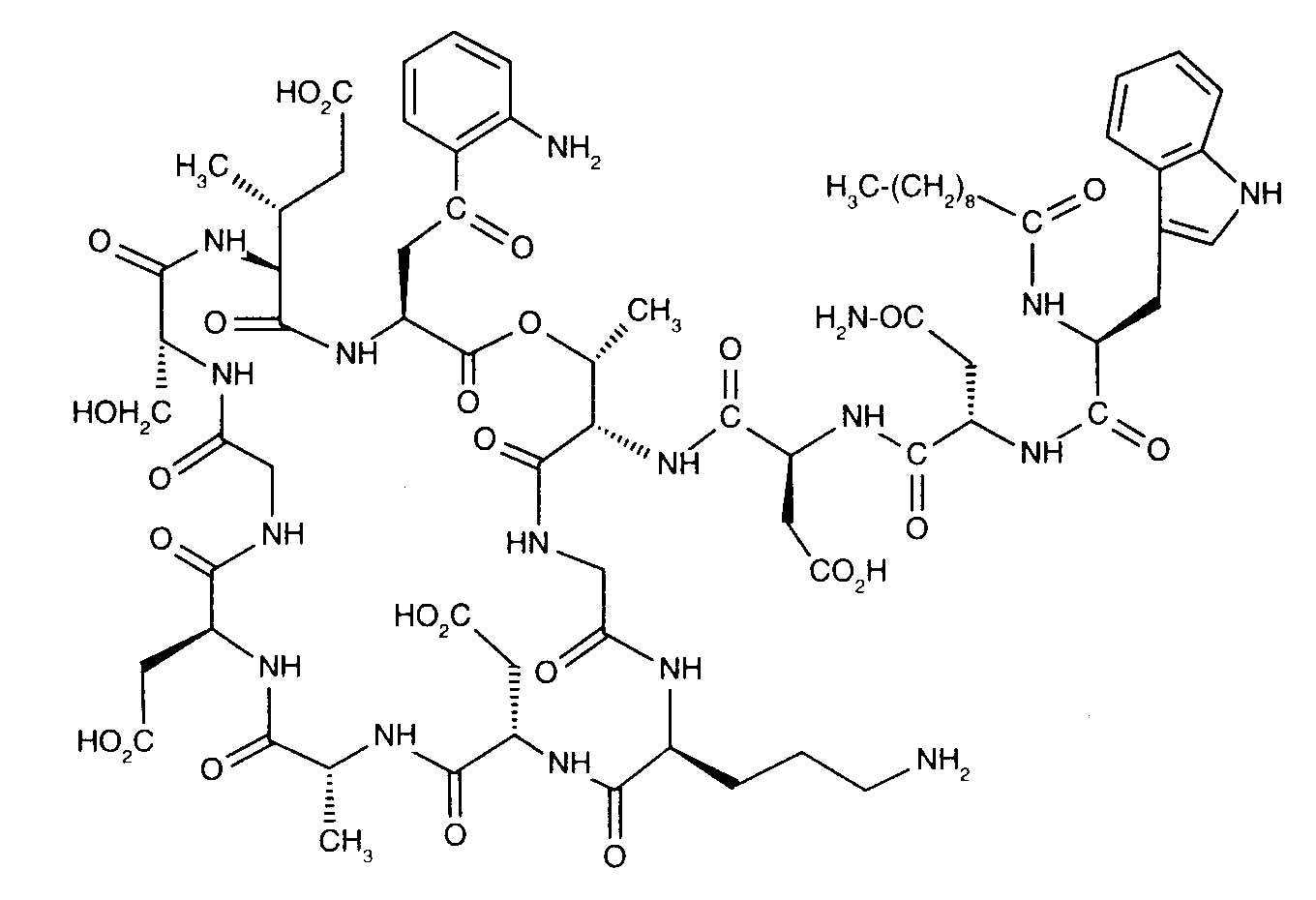
   Kimyasal yapı   

Ticari isim   Ticari isim     

Trade names are indicative and excipients composition can be different depending on the country and manufacturers

Cubicin Almanya, Amerika Birleşik Devletleri, Arjantin, Avustralya, Avusturya, Büyük Britanya, Danimarka, Finlandiya, Fransa, Hindistan, Hollanda, İrlanda, İspanya, İsveç, İsviçre, İtalya, İzlanda, Japonya, Kanada, Kolombiya, Macaristan, Malezya, Meksika, Norveç, Polonya, Portekiz, Romanya, Şili, Türkiye, Venezuela, yeni Zelanda, Yunanistan
Daptomicina Arjantin, İspanya, İtalya
Daptomicine Almanya, Büyük Britanya, Finlandiya, Macaristan, Norveç
Exfuno Brezilya, Şili
Stenkivar Nijerya
Trisk Brezilya
Çözeltilerin stabilitesi   Enjeksiyon    Çözeltilerin stabilitesi : Daptomycin     
Saklama kabı Çözücü Konsantrasyon Isı Saklama    Stabilite süresi Kaynaklar
Cam Enjeksiyonluk su 50 mg/ml 2-8°C Belirtilmemiş
48 Zaman
2271
Üreticinin stabilite verileri

Cam Enjeksiyonluk su 50 mg/ml 25°C Belirtilmemiş
12 Zaman
2271
Üreticinin stabilite verileri

Cam Sodyum klorür % 0,9 50 mg/ml 2-8°C Belirtilmemiş
48 Zaman
2271
Üreticinin stabilite verileri

Cam Sodyum klorür % 0,9 50 mg/ml 2-8°C Işıktan koruyunuz
7 Gün
4074
Kanıt düzeyi C

Cam Sodyum klorür % 0,9 50 mg/ml 25°C Belirtilmemiş
12 Zaman
2271
Üreticinin stabilite verileri

Cam Sodyum klorür % 0,9 50 mg/ml 25°C Işıktan koruyunuz
2 Gün
4074
Kanıt düzeyi C

Cam Physionéal® 1.36 (Baxter) 100 mg/ml 25°C Işıktan koruyunuz
6 Zaman
3218
Kanıt düzeyi D

Cam Physionéal® 1.36 (Baxter) 100 mg/ml 37°C Işıktan koruyunuz
6 Zaman
3218
Kanıt düzeyi D

Cam Physionéal® 1.36 (Baxter) 100 mg/ml 4°C Işıktan koruyunuz
24 Zaman
3218
Kanıt düzeyi D

Polivinil klorür Extraneal® (Baxter) 0,070 mg/ml 25°C Belirtilmemiş
24 Zaman
4936
Kanıt düzeyi D

Polivinil klorür Extraneal® (Baxter) 0,245 mg/ml 25°C Belirtilmemiş
48 Zaman
4936
Kanıt düzeyi D

Polivinil klorür Nutrineal® 50 & 200 mg/ml 37°C Işıktan koruyunuz
6 Zaman
3218
Kanıt düzeyi D

Polivinil klorür Nutrineal® 50 & 200 mg/ml 4°C Işıktan koruyunuz
24 Zaman
3218
Kanıt düzeyi D

Polivinil klorür Physionéal® 1.36 (Baxter) 0.02 mg/ml 25°C Belirtilmemiş
24 Zaman
3439
Kanıt düzeyi D

Polivinil klorür Physionéal® 1.36 (Baxter) 0.02 mg/ml 37°C Belirtilmemiş
6 Zaman
3439
Kanıt düzeyi D

Polivinil klorür Physionéal® 1.36 (Baxter) 50 & 200 mg/ml 25°C Işıktan koruyunuz
6 Zaman
3218
Kanıt düzeyi D

Polivinil klorür Physionéal® 1.36 (Baxter) 50 & 200 mg/ml 37°C Işıktan koruyunuz
6 Zaman
3218
Kanıt düzeyi D

Polivinil klorür Physionéal® 1.36 (Baxter) 50 & 200 mg/ml 4°C Işıktan koruyunuz
24 Zaman
3218
Kanıt düzeyi D

Polivinil klorür Physionéal® 2.27 (Baxter) 0.02 mg/ml 25°C Belirtilmemiş
24 Zaman
3439
Kanıt düzeyi D

Polivinil klorür Physionéal® 2.27 (Baxter) 0.02 mg/ml 37°C Belirtilmemiş
6 Zaman
3439
Kanıt düzeyi D

Polivinil klorür Dianéal® 2.5% glucose (Baxter) 0,070 mg/ml 25°C Belirtilmemiş
24 Zaman
4936
Kanıt düzeyi D

Polivinil klorür Dianéal® 2.5% glucose (Baxter) 0,245 mg/ml 25°C Belirtilmemiş
12 Zaman
4936
Kanıt düzeyi D

Polipropilen Sodyum klorür % 0,9 14 mg/ml 2-8°C Işıktan koruyunuz
7 Gün
4074
Kanıt düzeyi C

Polipropilen Sodyum klorür % 0,9 14 mg/ml 25°C Işıktan koruyunuz
4 Gün
4074
Kanıt düzeyi C

Polipropilen Sodyum klorür % 0,9 5,6 mg/ml 2-8°C Işıktan koruyunuz
7 Gün
4074
Kanıt düzeyi C

Polipropilen Sodyum klorür % 0,9 5,6 mg/ml 25°C Işıktan koruyunuz
2 Gün
4074
Kanıt düzeyi C

Belirtilmemiş Sodyum klorür % 0,9 ? mg/ml 2-8°C Belirtilmemiş
24 Zaman
2271
Üreticinin stabilite verileri

Belirtilmemiş Sodyum klorür % 0,9 ? mg/ml 25°C Belirtilmemiş
12 Zaman
2271
Üreticinin stabilite verileri


  Mentions Légales