Pēdējā atjaunošana :
27/04/2026
Infostab
Saraksti
Kopsavilkums
Meklēt saderības
Y-savienojuma saderības tabula
Literatūras saraksts
pētniecības grupas
valistab
plakāts
Savienojumi
sponsori
Autori
Lietošanas instrukcija
Newsletter
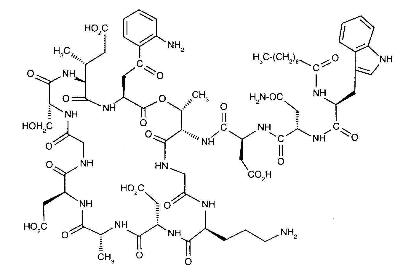
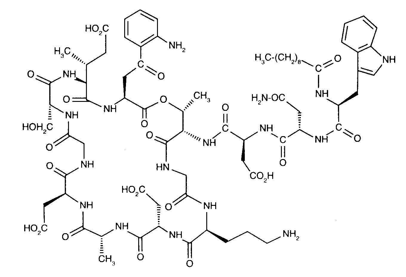
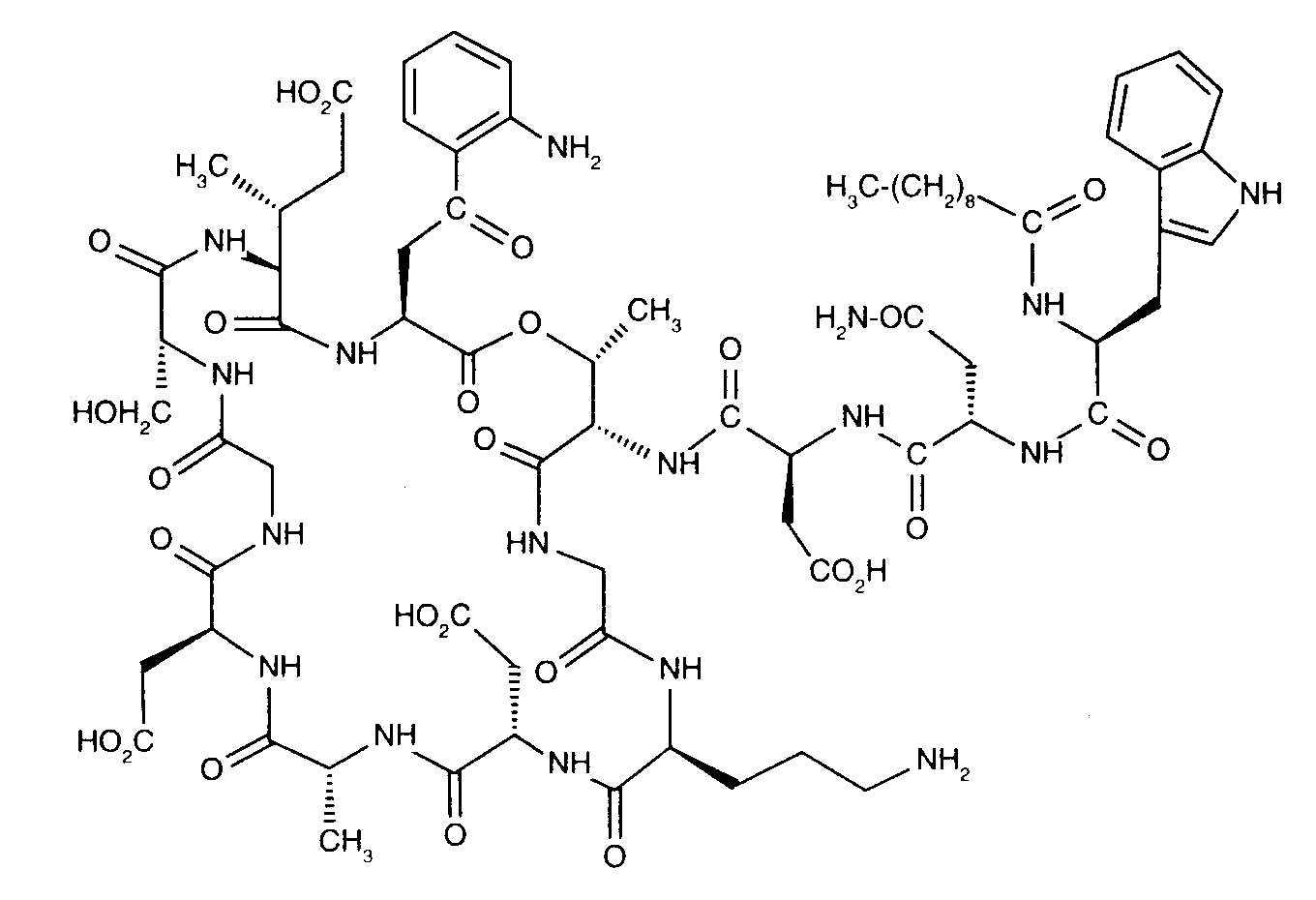
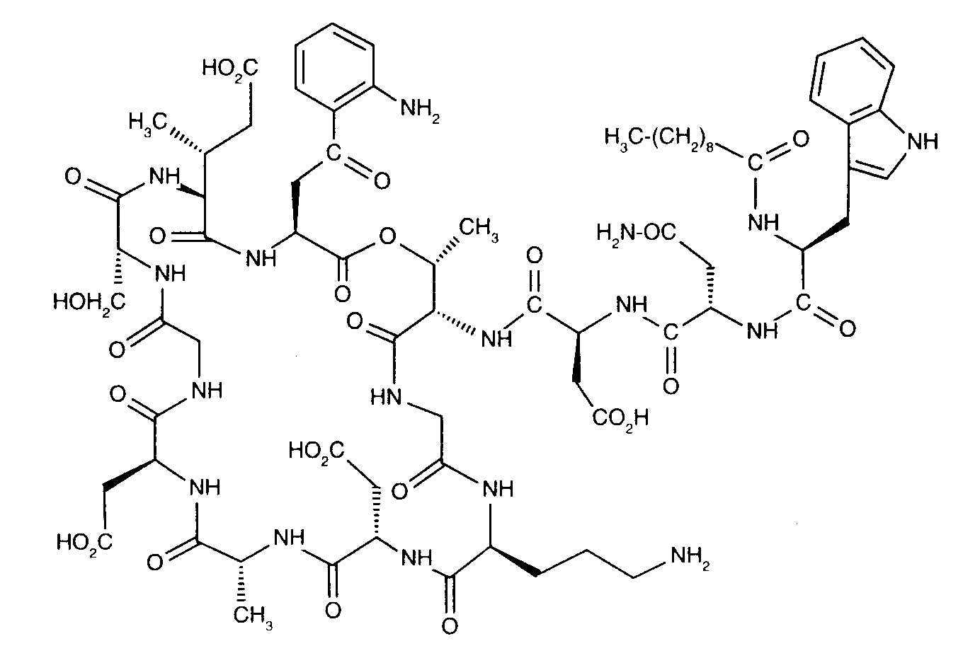
Daptomycin
Ķīmiskā uzbūve
Oriģinālais nosaukums
Tirdzniecības nosaukumi ir apzīmējoši un palīgvielas var atšķirties dažādām valstīm un laboratorijām
Cubicin
Amerikas Savienotās Valstis, Argentīna, Austrālija, Austrija, Čīle, Dānija, Francija, Grieķija, Holande, Indija, Īrija, Islande, Itālija, Japāna, Jaunzēlande, Kanāda, Kolumbija, Lielbritānija, Malaizija, Meksika, Norvēģija, Polija, Portugāle, Rumānija, Somija, Spānija, Šveice, Turcija, Ungārija, Vācija, Venecuēla, Zviedrija
Daptomicina
Argentīna, Itālija, Spānija
Daptomicine
Lielbritānija, Norvēģija, Somija, Ungārija, Vācija
Exfuno
Brazīlija, Čīle
Stenkivar
Nigērija
Trisk
Brazīlija
Šķīduma stabilitāte : Daptomycin
50 mg/ml
2-8°C
48
2271
50 mg/ml
25°C
12
2271
50 mg/ml
2-8°C
48
2271
50 mg/ml
2-8°C
7
4074
50 mg/ml
25°C
12
2271
50 mg/ml
25°C
2
4074
100 mg/ml
25°C
6
3218
100 mg/ml
37°C
6
3218
100 mg/ml
4°C
24
3218
0,070 mg/ml
25°C
24
4936
0,245 mg/ml
25°C
48
4936
50 & 200 mg/ml
37°C
6
3218
50 & 200 mg/ml
4°C
24
3218
0.02 mg/ml
25°C
24
3439
0.02 mg/ml
37°C
6
3439
50 & 200 mg/ml
25°C
6
3218
50 & 200 mg/ml
37°C
6
3218
50 & 200 mg/ml
4°C
24
3218
0.02 mg/ml
25°C
24
3439
0.02 mg/ml
37°C
6
3439
0,070 mg/ml
25°C
24
4936
0,245 mg/ml
25°C
12
4936
14 mg/ml
2-8°C
7
4074
14 mg/ml
25°C
4
4074
5,6 mg/ml
2-8°C
7
4074
5,6 mg/ml
25°C
2
4074
? mg/ml
2-8°C
24
2271
? mg/ml
25°C
12
2271
Mentions Légales