Siste oppdatering :
18/03/2026
Antibiotika   Daptomycin  
Injeksjon
Oppløsningsstabilitet Stabilitet i blandinger Faktorer som påvirker stabiliteten Kompatibilitet Administrasjonsmåte Referanser pdf
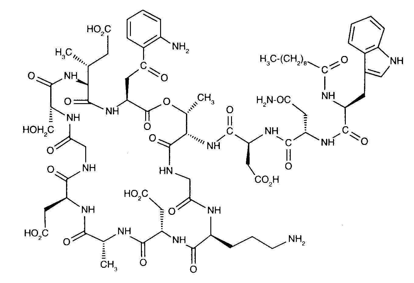
   Kjemisk struktur  

Handelsnavn   Handelsnavn     

Handelsnavn er veiledende og sammensetning av hjelpestoffer kan være forskjellig avhengig av land og produsent

Cubicin Argentina, Australia, Canada, Chile, Colombia, Danmark, Finland, Frankrike, Hellas, India, Irland, Island, Italia, Japan, Malaysia, Mexico, Nederland, New Zealand, Norge, Polen, Portugal, Romania, Spania, Storbritannia, Sveits, Sverige, Tyrkia, Tyskland, Ungarn, USA, Venezuela, Østerrike
Daptomicina Argentina, Italia, Spania
Daptomicine Finland, Norge, Storbritannia, Tyskland, Ungarn
Exfuno Brasil, Chile
Stenkivar Nigeria
Trisk Brasil
Oppløsningsstabilitet   Injeksjon   Oppløsningsstabilitet : Daptomycin     
Beholder Oppløsningsmiddel Konsentrasjon Temperatur Oppbevaring Varighet av stabilitet Referanser
Glass Vann til injeksjon 50 mg/ml 2-8°C Ikke angitt
48 Tid
2271
Stabilitetsopplysninger fra produsent

Glass Vann til injeksjon 50 mg/ml 25°C Ikke angitt
12 Tid
2271
Stabilitetsopplysninger fra produsent

Glass Natriumklorid 0,9 % 50 mg/ml 2-8°C Ikke angitt
48 Tid
2271
Stabilitetsopplysninger fra produsent

Glass Natriumklorid 0,9 % 50 mg/ml 2-8°C Beskyttes mot lys
7 Dag
4074
Bevisgrad C

Glass Natriumklorid 0,9 % 50 mg/ml 25°C Ikke angitt
12 Tid
2271
Stabilitetsopplysninger fra produsent

Glass Natriumklorid 0,9 % 50 mg/ml 25°C Beskyttes mot lys
2 Dag
4074
Bevisgrad C

Glass Physionéal® 1.36 (Baxter) 100 mg/ml 25°C Beskyttes mot lys
6 Tid
3218
Bevisgrad D

Glass Physionéal® 1.36 (Baxter) 100 mg/ml 37°C Beskyttes mot lys
6 Tid
3218
Bevisgrad D

Glass Physionéal® 1.36 (Baxter) 100 mg/ml 4°C Beskyttes mot lys
24 Tid
3218
Bevisgrad D

Polyvinylklorid Extraneal® (Baxter) 0,070 mg/ml 25°C Ikke angitt
24 Tid
4936
Bevisgrad D

Polyvinylklorid Extraneal® (Baxter) 0,245 mg/ml 25°C Ikke angitt
48 Tid
4936
Bevisgrad D

Polyvinylklorid Nutrineal® 50 & 200 mg/ml 37°C Beskyttes mot lys
6 Tid
3218
Bevisgrad D

Polyvinylklorid Nutrineal® 50 & 200 mg/ml 4°C Beskyttes mot lys
24 Tid
3218
Bevisgrad D

Polyvinylklorid Physionéal® 1.36 (Baxter) 0.02 mg/ml 25°C Ikke angitt
24 Tid
3439
Bevisgrad D

Polyvinylklorid Physionéal® 1.36 (Baxter) 0.02 mg/ml 37°C Ikke angitt
6 Tid
3439
Bevisgrad D

Polyvinylklorid Physionéal® 1.36 (Baxter) 50 & 200 mg/ml 25°C Beskyttes mot lys
6 Tid
3218
Bevisgrad D

Polyvinylklorid Physionéal® 1.36 (Baxter) 50 & 200 mg/ml 37°C Beskyttes mot lys
6 Tid
3218
Bevisgrad D

Polyvinylklorid Physionéal® 1.36 (Baxter) 50 & 200 mg/ml 4°C Beskyttes mot lys
24 Tid
3218
Bevisgrad D

Polyvinylklorid Physionéal® 2.27 (Baxter) 0.02 mg/ml 25°C Ikke angitt
24 Tid
3439
Bevisgrad D

Polyvinylklorid Physionéal® 2.27 (Baxter) 0.02 mg/ml 37°C Ikke angitt
6 Tid
3439
Bevisgrad D

Polyvinylklorid Dianéal® 2.5% glucose (Baxter) 0,070 mg/ml 25°C Ikke angitt
24 Tid
4936
Bevisgrad D

Polyvinylklorid Dianéal® 2.5% glucose (Baxter) 0,245 mg/ml 25°C Ikke angitt
12 Tid
4936
Bevisgrad D

Polypropylen Natriumklorid 0,9 % 14 mg/ml 2-8°C Beskyttes mot lys
7 Dag
4074
Bevisgrad C

Polypropylen Natriumklorid 0,9 % 14 mg/ml 25°C Beskyttes mot lys
4 Dag
4074
Bevisgrad C

Polypropylen Natriumklorid 0,9 % 5,6 mg/ml 2-8°C Beskyttes mot lys
7 Dag
4074
Bevisgrad C

Polypropylen Natriumklorid 0,9 % 5,6 mg/ml 25°C Beskyttes mot lys
2 Dag
4074
Bevisgrad C

Ikke angitt Natriumklorid 0,9 % ? mg/ml 2-8°C Ikke angitt
24 Tid
2271
Stabilitetsopplysninger fra produsent

Ikke angitt Natriumklorid 0,9 % ? mg/ml 25°C Ikke angitt
12 Tid
2271
Stabilitetsopplysninger fra produsent


  Mentions Légales