最新更新 :
27/04/2026
抗生素   Daptomycin  
注射液
溶液稳定性 混合物稳定性 影响稳定性的因素 兼容性 用药途径 引用文献 PDF
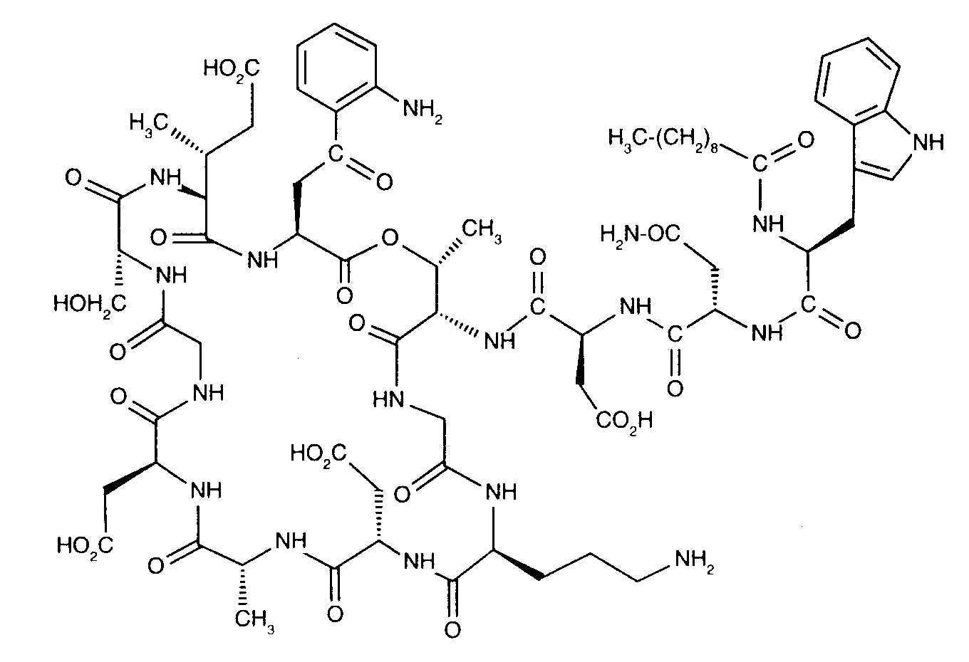
   化学式  

商品名   商品名     

商品名仅供参考, 药品所用的辅料可能依国家或厂商不同有所不同。

Cubicin 丹麦, 冰岛, 加拿大, 匈牙利, 印度, 哥伦比亚, 土耳其, 墨西哥, 奥地利, 委内瑞拉, 希腊, 德国, 意大利, 挪威, 新西蘭, 日本, 智利, 法国, 波兰, 澳大利亚, 爱尔兰, 瑞典, 瑞士, 罗马尼亚, 美国, 芬兰, 英国, 荷兰, 葡萄牙, 西班牙, 阿根廷, 马来西亚
Daptomicina 意大利, 西班牙, 阿根廷
Daptomicine 匈牙利, 德国, 挪威, 芬兰, 英国
Exfuno 巴西, 智利
Stenkivar 尼日利亞
Trisk 巴西
溶液稳定性   注射液   溶液稳定性 : Daptomycin     
容器 溶剂 浓度 温度 保存 穩定持續時間 引用文献
玻璃 注射用水 50 mg/ml 2-8°C 无特殊要求
48 小时
2271
生产厂家提供的稳定性数据

玻璃 注射用水 50 mg/ml 25°C 无特殊要求
12 小时
2271
生产厂家提供的稳定性数据

玻璃 NaCl 0,9% 50 mg/ml 2-8°C 无特殊要求
48 小时
2271
生产厂家提供的稳定性数据

玻璃 NaCl 0,9% 50 mg/ml 2-8°C 避光
7 白天
4074
C级

玻璃 NaCl 0,9% 50 mg/ml 25°C 无特殊要求
12 小时
2271
生产厂家提供的稳定性数据

玻璃 NaCl 0,9% 50 mg/ml 25°C 避光
2 白天
4074
C级

玻璃 Physionéal® 1.36 (Baxter) 100 mg/ml 25°C 避光
6 小时
3218
D级

玻璃 Physionéal® 1.36 (Baxter) 100 mg/ml 37°C 避光
6 小时
3218
D级

玻璃 Physionéal® 1.36 (Baxter) 100 mg/ml 4°C 避光
24 小时
3218
D级

聚氯乙烯 Extraneal® (Baxter) 0,070 mg/ml 25°C 无特殊要求
24 小时
4936
D级

聚氯乙烯 Extraneal® (Baxter) 0,245 mg/ml 25°C 无特殊要求
48 小时
4936
D级

聚氯乙烯 Nutrineal® 50 & 200 mg/ml 37°C 避光
6 小时
3218
D级

聚氯乙烯 Nutrineal® 50 & 200 mg/ml 4°C 避光
24 小时
3218
D级

聚氯乙烯 Physionéal® 1.36 (Baxter) 0.02 mg/ml 25°C 无特殊要求
24 小时
3439
D级

聚氯乙烯 Physionéal® 1.36 (Baxter) 0.02 mg/ml 37°C 无特殊要求
6 小时
3439
D级

聚氯乙烯 Physionéal® 1.36 (Baxter) 50 & 200 mg/ml 25°C 避光
6 小时
3218
D级

聚氯乙烯 Physionéal® 1.36 (Baxter) 50 & 200 mg/ml 37°C 避光
6 小时
3218
D级

聚氯乙烯 Physionéal® 1.36 (Baxter) 50 & 200 mg/ml 4°C 避光
24 小时
3218
D级

聚氯乙烯 Physionéal® 2.27 (Baxter) 0.02 mg/ml 25°C 无特殊要求
24 小时
3439
D级

聚氯乙烯 Physionéal® 2.27 (Baxter) 0.02 mg/ml 37°C 无特殊要求
6 小时
3439
D级

聚氯乙烯 Dianéal® 2.5% glucose (Baxter) 0,070 mg/ml 25°C 无特殊要求
24 小时
4936
D级

聚氯乙烯 Dianéal® 2.5% glucose (Baxter) 0,245 mg/ml 25°C 无特殊要求
12 小时
4936
D级

聚丙烯 NaCl 0,9% 14 mg/ml 2-8°C 避光
7 白天
4074
C级

聚丙烯 NaCl 0,9% 14 mg/ml 25°C 避光
4 白天
4074
C级

聚丙烯 NaCl 0,9% 5,6 mg/ml 2-8°C 避光
7 白天
4074
C级

聚丙烯 NaCl 0,9% 5,6 mg/ml 25°C 避光
2 白天
4074
C级

不详 NaCl 0,9% ? mg/ml 2-8°C 无特殊要求
24 小时
2271
生产厂家提供的稳定性数据

不详 NaCl 0,9% ? mg/ml 25°C 无特殊要求
12 小时
2271
生产厂家提供的稳定性数据


  Mentions Légales