Ostatnia aktualizacja :
18/03/2026
Antybiotyk   Daptomycin  
Injekcje
Trwałość roztworów Trwałość w mieszaninie Czynnik wpływający na trwałość Zgodność Sposób podania Bibliografia pdf
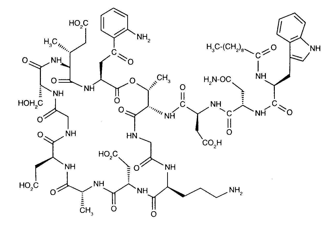
   Struktura chemiczna  

Nazwa handlowa   Nazwa handlowa     

Trade names are indicative and excipients composition can be different depending on the country and manufacturers

Cubicin Argentyna, Australia, Austria, Chile, Dania, Finlandia, Francja , Grecja, Hiszpania, Holandia, Indie, Irlandia, Islandia, Japonia, Kanada, KolumbiaKolumbia, Malezja, Meksyk, Niemcy, Norwegia, nowa Zelandia, Polska, Portugalia, Rumunia, Stany Zjednoczone Ameryki, Szwajcaria, Szwecja, Turcja, Węgry, Wenezuela, Wielka Brytania, Włochy
Daptomicina Argentyna, Hiszpania, Włochy
Daptomicine Finlandia, Niemcy, Norwegia, Węgry, Wielka Brytania
Exfuno Brazylia, Chile
Stenkivar Nigeria
Trisk Brazylia
Trwałość roztworów   Injekcje   Trwałość roztworów : Daptomycin     
Pojemnik Rozpuszczalnik Stężenie Temperatura Przechowywanie Czas trwania stabilności Bibliografia
Szkło Woda do wstrzyknięć 50 mg/ml 2-8°C Nie wyszczególniony
48 Godzina
2271
Dane stabilności producenta

Szkło Woda do wstrzyknięć 50 mg/ml 25°C Nie wyszczególniony
12 Godzina
2271
Dane stabilności producenta

Szkło Chlorek sodu 0,9% 50 mg/ml 2-8°C Nie wyszczególniony
48 Godzina
2271
Dane stabilności producenta

Szkło Chlorek sodu 0,9% 50 mg/ml 2-8°C Chronić od światła
7 Dzień
4074
Poziom wiarygodności C

Szkło Chlorek sodu 0,9% 50 mg/ml 25°C Nie wyszczególniony
12 Godzina
2271
Dane stabilności producenta

Szkło Chlorek sodu 0,9% 50 mg/ml 25°C Chronić od światła
2 Dzień
4074
Poziom wiarygodności C

Szkło Physionéal® 1.36 (Baxter) 100 mg/ml 25°C Chronić od światła
6 Godzina
3218
Poziom wiarygodności D

Szkło Physionéal® 1.36 (Baxter) 100 mg/ml 37°C Chronić od światła
6 Godzina
3218
Poziom wiarygodności D

Szkło Physionéal® 1.36 (Baxter) 100 mg/ml 4°C Chronić od światła
24 Godzina
3218
Poziom wiarygodności D

Polichlorek winylu Extraneal® (Baxter) 0,070 mg/ml 25°C Nie wyszczególniony
24 Godzina
4936
Poziom wiarygodności D

Polichlorek winylu Extraneal® (Baxter) 0,245 mg/ml 25°C Nie wyszczególniony
48 Godzina
4936
Poziom wiarygodności D

Polichlorek winylu Nutrineal® 50 & 200 mg/ml 37°C Chronić od światła
6 Godzina
3218
Poziom wiarygodności D

Polichlorek winylu Nutrineal® 50 & 200 mg/ml 4°C Chronić od światła
24 Godzina
3218
Poziom wiarygodności D

Polichlorek winylu Physionéal® 1.36 (Baxter) 0.02 mg/ml 25°C Nie wyszczególniony
24 Godzina
3439
Poziom wiarygodności D

Polichlorek winylu Physionéal® 1.36 (Baxter) 0.02 mg/ml 37°C Nie wyszczególniony
6 Godzina
3439
Poziom wiarygodności D

Polichlorek winylu Physionéal® 1.36 (Baxter) 50 & 200 mg/ml 25°C Chronić od światła
6 Godzina
3218
Poziom wiarygodności D

Polichlorek winylu Physionéal® 1.36 (Baxter) 50 & 200 mg/ml 37°C Chronić od światła
6 Godzina
3218
Poziom wiarygodności D

Polichlorek winylu Physionéal® 1.36 (Baxter) 50 & 200 mg/ml 4°C Chronić od światła
24 Godzina
3218
Poziom wiarygodności D

Polichlorek winylu Physionéal® 2.27 (Baxter) 0.02 mg/ml 25°C Nie wyszczególniony
24 Godzina
3439
Poziom wiarygodności D

Polichlorek winylu Physionéal® 2.27 (Baxter) 0.02 mg/ml 37°C Nie wyszczególniony
6 Godzina
3439
Poziom wiarygodności D

Polichlorek winylu Dianéal® 2.5% glucose (Baxter) 0,070 mg/ml 25°C Nie wyszczególniony
24 Godzina
4936
Poziom wiarygodności D

Polichlorek winylu Dianéal® 2.5% glucose (Baxter) 0,245 mg/ml 25°C Nie wyszczególniony
12 Godzina
4936
Poziom wiarygodności D

Polipropylen Chlorek sodu 0,9% 14 mg/ml 2-8°C Chronić od światła
7 Dzień
4074
Poziom wiarygodności C

Polipropylen Chlorek sodu 0,9% 14 mg/ml 25°C Chronić od światła
4 Dzień
4074
Poziom wiarygodności C

Polipropylen Chlorek sodu 0,9% 5,6 mg/ml 2-8°C Chronić od światła
7 Dzień
4074
Poziom wiarygodności C

Polipropylen Chlorek sodu 0,9% 5,6 mg/ml 25°C Chronić od światła
2 Dzień
4074
Poziom wiarygodności C

Brak informacji Chlorek sodu 0,9% ? mg/ml 2-8°C Nie wyszczególniony
24 Godzina
2271
Dane stabilności producenta

Brak informacji Chlorek sodu 0,9% ? mg/ml 25°C Nie wyszczególniony
12 Godzina
2271
Dane stabilności producenta


  Mentions Légales