Última actualización :
27/04/2026
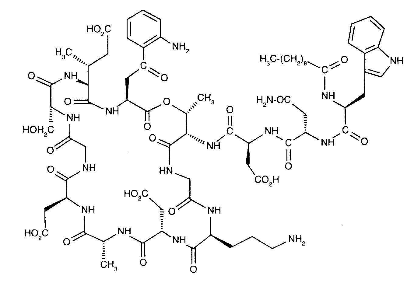
Antibiótico   Daptomycin  
Inyectables
Estabilidad en solucion Estabilidad en mezcla Factores que influyen sobre la estabilidad Compatibilidades método de inyección Bibliografía pdf
   Estructura química  

Nombre comercial   Nombre comercial     

Los nombres comerciales son orientativos y los excipientes de la formulación pueden ser distintos dependiendo del país y del laboratorio fabricante.

Cubicin Alemania, Argentina, Australia, Austria, Canadá, Chile, Colombia, Dinamarca, España, Estados Unidos de América, Finlandia, Francia, Gran Bretaña, Grecia, Hungría, India, Irlanda, Islandia, Italia, Japón, Malasia, México, Noruega, Nueva Zelanda, Países Bajos, Polonia, Portugal, Rumania, Suecia, Suiza, Turquía, Venezuela
Daptomicina Argentina, España, Italia
Daptomicine Alemania, Finlandia, Gran Bretaña, Hungría, Noruega
Exfuno Brasil, Chile
Stenkivar Nigeria
Trisk Brasil
Estabilidad en solucion   Inyectables   Estabilidad en solucion : Daptomycin     
Envase Solvente Concentración Temperatura Conservación Duración de la estabilidad Bibliografía
Vidrio Agua para preparación inyectable 50 mg/ml 2-8°C No precisada
48 Hora
2271
Datos de estabilidad del fabricante

Vidrio Agua para preparación inyectable 50 mg/ml 25°C No precisada
12 Hora
2271
Datos de estabilidad del fabricante

Vidrio Cloruro de sodio 0,9% 50 mg/ml 2-8°C No precisada
48 Hora
2271
Datos de estabilidad del fabricante

Vidrio Cloruro de sodio 0,9% 50 mg/ml 2-8°C A cubierto de la luz
7 Día
4074
Nivel de evidencia C

Vidrio Cloruro de sodio 0,9% 50 mg/ml 25°C No precisada
12 Hora
2271
Datos de estabilidad del fabricante

Vidrio Cloruro de sodio 0,9% 50 mg/ml 25°C A cubierto de la luz
2 Día
4074
Nivel de evidencia C

Vidrio Physionéal® 1.36 (Baxter) 100 mg/ml 25°C A cubierto de la luz
6 Hora
3218
Nivel de evidencia D

Vidrio Physionéal® 1.36 (Baxter) 100 mg/ml 37°C A cubierto de la luz
6 Hora
3218
Nivel de evidencia D

Vidrio Physionéal® 1.36 (Baxter) 100 mg/ml 4°C A cubierto de la luz
24 Hora
3218
Nivel de evidencia D

Cloruro de polivinilo Extraneal® (Baxter) 0,070 mg/ml 25°C No precisada
24 Hora
4936
Nivel de evidencia D

Cloruro de polivinilo Extraneal® (Baxter) 0,245 mg/ml 25°C No precisada
48 Hora
4936
Nivel de evidencia D

Cloruro de polivinilo Nutrineal® 50 & 200 mg/ml 37°C A cubierto de la luz
6 Hora
3218
Nivel de evidencia D

Cloruro de polivinilo Nutrineal® 50 & 200 mg/ml 4°C A cubierto de la luz
24 Hora
3218
Nivel de evidencia D

Cloruro de polivinilo Physionéal® 1.36 (Baxter) 0.02 mg/ml 25°C No precisada
24 Hora
3439
Nivel de evidencia D

Cloruro de polivinilo Physionéal® 1.36 (Baxter) 0.02 mg/ml 37°C No precisada
6 Hora
3439
Nivel de evidencia D

Cloruro de polivinilo Physionéal® 1.36 (Baxter) 50 & 200 mg/ml 25°C A cubierto de la luz
6 Hora
3218
Nivel de evidencia D

Cloruro de polivinilo Physionéal® 1.36 (Baxter) 50 & 200 mg/ml 37°C A cubierto de la luz
6 Hora
3218
Nivel de evidencia D

Cloruro de polivinilo Physionéal® 1.36 (Baxter) 50 & 200 mg/ml 4°C A cubierto de la luz
24 Hora
3218
Nivel de evidencia D

Cloruro de polivinilo Physionéal® 2.27 (Baxter) 0.02 mg/ml 25°C No precisada
24 Hora
3439
Nivel de evidencia D

Cloruro de polivinilo Physionéal® 2.27 (Baxter) 0.02 mg/ml 37°C No precisada
6 Hora
3439
Nivel de evidencia D

Cloruro de polivinilo Dianéal® 2.5% glucose (Baxter) 0,070 mg/ml 25°C No precisada
24 Hora
4936
Nivel de evidencia D

Cloruro de polivinilo Dianéal® 2.5% glucose (Baxter) 0,245 mg/ml 25°C No precisada
12 Hora
4936
Nivel de evidencia D

Polipropileno Cloruro de sodio 0,9% 14 mg/ml 2-8°C A cubierto de la luz
7 Día
4074
Nivel de evidencia C

Polipropileno Cloruro de sodio 0,9% 14 mg/ml 25°C A cubierto de la luz
4 Día
4074
Nivel de evidencia C

Polipropileno Cloruro de sodio 0,9% 5,6 mg/ml 2-8°C A cubierto de la luz
7 Día
4074
Nivel de evidencia C

Polipropileno Cloruro de sodio 0,9% 5,6 mg/ml 25°C A cubierto de la luz
2 Día
4074
Nivel de evidencia C

No precisado Cloruro de sodio 0,9% ? mg/ml 2-8°C No precisada
24 Hora
2271
Datos de estabilidad del fabricante

No precisado Cloruro de sodio 0,9% ? mg/ml 25°C No precisada
12 Hora
2271
Datos de estabilidad del fabricante


  Mentions Légales