Последнее обновление :
27/01/2026
Антибиотик   Daptomycin  
Инъекция
Стабильность растворов Стабильность смесей Факторы, которые влияют на стабильность Совместимость Способы введения Библиография pdf
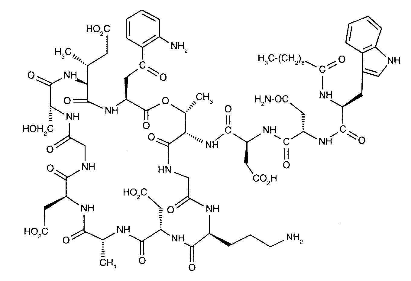
   Химическая структура  

Товарное название   Товарное название     

Trade names are indicative and excipients composition can be different depending on the country and manufacturers

Cubicin Австралия, Австрия, Аргентина, Великобритания, Венгрия, Венесуэла, Германия, Голландия, Греция, Дания, Индия, Ирландия, Исландия, Испания, Италия, Канада, Колумбия, Малайзия, Мексика, новая Зеландия, Норвегия, Польша, Португалия, Румыния, Соединённые Штаты Америки, Турция, Финляндия, Франция, чили, Швейцария, Швеция, Япония
Daptomicina Аргентина, Испания, Италия
Daptomicine Великобритания, Венгрия, Германия, Норвегия, Финляндия
Exfuno Бразилия, чили
Stenkivar Нигерия
Trisk Бразилия
Стабильность растворов   Инъекция   Стабильность растворов : Daptomycin     
Упаковка Растворитель Концентрация Температура Хранение Продолжительность стабильности Ссылки
Стекло Вода для инъекций 50 mg/ml 2-8°C Не указано
48 Час
2271
Данные по стабльности от изготовителя

Стекло Вода для инъекций 50 mg/ml 25°C Не указано
12 Час
2271
Данные по стабльности от изготовителя

Стекло Натрия хлорид 0,9% 50 mg/ml 2-8°C Не указано
48 Час
2271
Данные по стабльности от изготовителя

Стекло Натрия хлорид 0,9% 50 mg/ml 2-8°C Защищён от света
7 День
4074
Уровень доказательности C

Стекло Натрия хлорид 0,9% 50 mg/ml 25°C Не указано
12 Час
2271
Данные по стабльности от изготовителя

Стекло Натрия хлорид 0,9% 50 mg/ml 25°C Защищён от света
2 День
4074
Уровень доказательности C

Стекло Physionéal® 1.36 (Baxter) 100 mg/ml 25°C Защищён от света
6 Час
3218
Уровень доказательности D

Стекло Physionéal® 1.36 (Baxter) 100 mg/ml 37°C Защищён от света
6 Час
3218
Уровень доказательности D

Стекло Physionéal® 1.36 (Baxter) 100 mg/ml 4°C Защищён от света
24 Час
3218
Уровень доказательности D

Поливинилхлорид Extraneal® (Baxter) 0,070 mg/ml 25°C Не указано
24 Час
4936
Уровень доказательности D

Поливинилхлорид Extraneal® (Baxter) 0,245 mg/ml 25°C Не указано
48 Час
4936
Уровень доказательности D

Поливинилхлорид Nutrineal® 50 & 200 mg/ml 37°C Защищён от света
6 Час
3218
Уровень доказательности D

Поливинилхлорид Nutrineal® 50 & 200 mg/ml 4°C Защищён от света
24 Час
3218
Уровень доказательности D

Поливинилхлорид Physionéal® 1.36 (Baxter) 0.02 mg/ml 25°C Не указано
24 Час
3439
Уровень доказательности D

Поливинилхлорид Physionéal® 1.36 (Baxter) 0.02 mg/ml 37°C Не указано
6 Час
3439
Уровень доказательности D

Поливинилхлорид Physionéal® 1.36 (Baxter) 50 & 200 mg/ml 25°C Защищён от света
6 Час
3218
Уровень доказательности D

Поливинилхлорид Physionéal® 1.36 (Baxter) 50 & 200 mg/ml 37°C Защищён от света
6 Час
3218
Уровень доказательности D

Поливинилхлорид Physionéal® 1.36 (Baxter) 50 & 200 mg/ml 4°C Защищён от света
24 Час
3218
Уровень доказательности D

Поливинилхлорид Physionéal® 2.27 (Baxter) 0.02 mg/ml 25°C Не указано
24 Час
3439
Уровень доказательности D

Поливинилхлорид Physionéal® 2.27 (Baxter) 0.02 mg/ml 37°C Не указано
6 Час
3439
Уровень доказательности D

Поливинилхлорид Dianéal® 2.5% glucose (Baxter) 0,070 mg/ml 25°C Не указано
24 Час
4936
Уровень доказательности D

Поливинилхлорид Dianéal® 2.5% glucose (Baxter) 0,245 mg/ml 25°C Не указано
12 Час
4936
Уровень доказательности D

Полипропилен Натрия хлорид 0,9% 14 mg/ml 2-8°C Защищён от света
7 День
4074
Уровень доказательности C

Полипропилен Натрия хлорид 0,9% 14 mg/ml 25°C Защищён от света
4 День
4074
Уровень доказательности C

Полипропилен Натрия хлорид 0,9% 5,6 mg/ml 2-8°C Защищён от света
7 День
4074
Уровень доказательности C

Полипропилен Натрия хлорид 0,9% 5,6 mg/ml 25°C Защищён от света
2 День
4074
Уровень доказательности C

Не указано Натрия хлорид 0,9% ? mg/ml 2-8°C Не указано
24 Час
2271
Данные по стабльности от изготовителя

Не указано Натрия хлорид 0,9% ? mg/ml 25°C Не указано
12 Час
2271
Данные по стабльности от изготовителя


  Mentions Légales