Poslední aktualizace :
18/03/2026
Antibiotikas   Daptomycin  
Įpurškimas
Tirpalų stabilumas Mišinių stabilumas Stabilumą lemiantys veiksniai Suderinamumas Leidimo būdai Bibliografija pdf
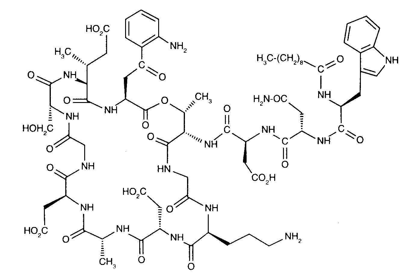
   Cheminė sandara  

Prekinis pavadinimas   Prekinis pavadinimas     

Trade names are indicative and excipients composition can be different depending on the country and manufacturers

Cubicin Airija, Argentina, Australija, Austrija, Čilė, Danija, Didžioji Britanija, Graikija, Indija, Islandija, Ispanija, Italija, Japonija, Jungtinės Amerikos Valstijos, Kanada, Kolumbija, Lenkija, Malaizija, Meksikas, Naujojoje Zelandijoje, Norvegija, Olandija, Portugalija, Prancūzija, Rumunija, Suomija, Švedija, Šveicarija, Turkija, Venesuela, Vengrija, Vokietija
Daptomicina Argentina, Ispanija, Italija
Daptomicine Didžioji Britanija, Norvegija, Suomija, Vengrija, Vokietija
Exfuno Brazilija, Čilė
Stenkivar Nigerija
Trisk Brazilija
Tirpalų stabilumas   Įpurškimas   Tirpalų stabilumas : Daptomycin     
Pakuotė Tirpiklis Koncentracija Temperatūra Laikymas Stabilumo trukmė Nuorodos
Stiklas Vanduo injekcijoms 50 mg/ml 2-8°C Nenurodyta
48 Valanda
2271
Gamintojo stabilumo duomenys

Stiklas Vanduo injekcijoms 50 mg/ml 25°C Nenurodyta
12 Valanda
2271
Gamintojo stabilumo duomenys

Stiklas Natrio chloridas 0,9% 50 mg/ml 2-8°C Nenurodyta
48 Valanda
2271
Gamintojo stabilumo duomenys

Stiklas Natrio chloridas 0,9% 50 mg/ml 2-8°C Apsaugotas nuo šviesos
7 Diena
4074
Bandymo lygis C

Stiklas Natrio chloridas 0,9% 50 mg/ml 25°C Nenurodyta
12 Valanda
2271
Gamintojo stabilumo duomenys

Stiklas Natrio chloridas 0,9% 50 mg/ml 25°C Apsaugotas nuo šviesos
2 Diena
4074
Bandymo lygis C

Stiklas Physionéal® 1.36 (Baxter) 100 mg/ml 25°C Apsaugotas nuo šviesos
6 Valanda
3218
Bandymo lygis D

Stiklas Physionéal® 1.36 (Baxter) 100 mg/ml 37°C Apsaugotas nuo šviesos
6 Valanda
3218
Bandymo lygis D

Stiklas Physionéal® 1.36 (Baxter) 100 mg/ml 4°C Apsaugotas nuo šviesos
24 Valanda
3218
Bandymo lygis D

Polivinilchloridas Extraneal® (Baxter) 0,070 mg/ml 25°C Nenurodyta
24 Valanda
4936
Bandymo lygis D

Polivinilchloridas Extraneal® (Baxter) 0,245 mg/ml 25°C Nenurodyta
48 Valanda
4936
Bandymo lygis D

Polivinilchloridas Nutrineal® 50 & 200 mg/ml 37°C Apsaugotas nuo šviesos
6 Valanda
3218
Bandymo lygis D

Polivinilchloridas Nutrineal® 50 & 200 mg/ml 4°C Apsaugotas nuo šviesos
24 Valanda
3218
Bandymo lygis D

Polivinilchloridas Physionéal® 1.36 (Baxter) 0.02 mg/ml 25°C Nenurodyta
24 Valanda
3439
Bandymo lygis D

Polivinilchloridas Physionéal® 1.36 (Baxter) 0.02 mg/ml 37°C Nenurodyta
6 Valanda
3439
Bandymo lygis D

Polivinilchloridas Physionéal® 1.36 (Baxter) 50 & 200 mg/ml 25°C Apsaugotas nuo šviesos
6 Valanda
3218
Bandymo lygis D

Polivinilchloridas Physionéal® 1.36 (Baxter) 50 & 200 mg/ml 37°C Apsaugotas nuo šviesos
6 Valanda
3218
Bandymo lygis D

Polivinilchloridas Physionéal® 1.36 (Baxter) 50 & 200 mg/ml 4°C Apsaugotas nuo šviesos
24 Valanda
3218
Bandymo lygis D

Polivinilchloridas Physionéal® 2.27 (Baxter) 0.02 mg/ml 25°C Nenurodyta
24 Valanda
3439
Bandymo lygis D

Polivinilchloridas Physionéal® 2.27 (Baxter) 0.02 mg/ml 37°C Nenurodyta
6 Valanda
3439
Bandymo lygis D

Polivinilchloridas Dianéal® 2.5% glucose (Baxter) 0,070 mg/ml 25°C Nenurodyta
24 Valanda
4936
Bandymo lygis D

Polivinilchloridas Dianéal® 2.5% glucose (Baxter) 0,245 mg/ml 25°C Nenurodyta
12 Valanda
4936
Bandymo lygis D

Polipropilenas Natrio chloridas 0,9% 14 mg/ml 2-8°C Apsaugotas nuo šviesos
7 Diena
4074
Bandymo lygis C

Polipropilenas Natrio chloridas 0,9% 14 mg/ml 25°C Apsaugotas nuo šviesos
4 Diena
4074
Bandymo lygis C

Polipropilenas Natrio chloridas 0,9% 5,6 mg/ml 2-8°C Apsaugotas nuo šviesos
7 Diena
4074
Bandymo lygis C

Polipropilenas Natrio chloridas 0,9% 5,6 mg/ml 25°C Apsaugotas nuo šviesos
2 Diena
4074
Bandymo lygis C

Nenurodyta Natrio chloridas 0,9% ? mg/ml 2-8°C Nenurodyta
24 Valanda
2271
Gamintojo stabilumo duomenys

Nenurodyta Natrio chloridas 0,9% ? mg/ml 25°C Nenurodyta
12 Valanda
2271
Gamintojo stabilumo duomenys


  Mentions Légales