Ultimo aggiornamento :
27/04/2026
Antibiotico   Daptomycin  
Iniezione
Stabilità in soluzione Stabilità in miscela Fattori che influenzano la stabilità Compatibilità metodo di iniezione Bibliografia pdf
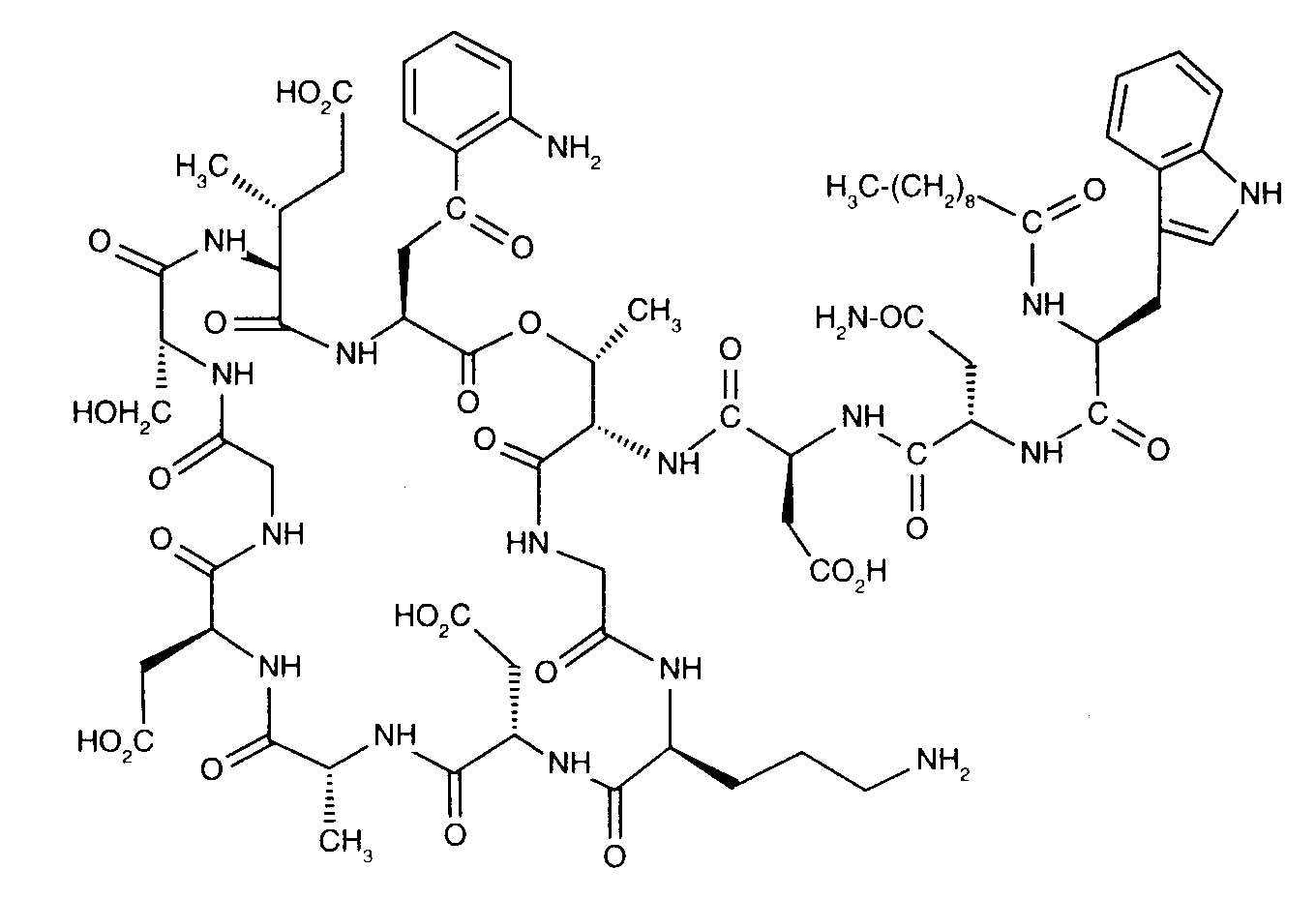
   Struttura chimica  

Nome commerciale   Nome commerciale     

Trade names are indicative and excipients composition can be different depending on the country and manufacturers

Cubicin Argentina, Australia, Austria, Canada, Chile, Colombia, Danimarca, Finlandia, Francia, Germania, Giappone, Gran Bretagna, Grecia, India, Irlanda, Islanda, Italia, Malaysia, Messico, Norvegia, nuova Zelanda, Paesi Bassi, Polonia, Portogallo, Romania, Spagna, Stati Uniti d’America, Svezia, Svizzera, Turchia, Ungheria, Venezuela
Daptomicina Argentina, Italia, Spagna
Daptomicine Finlandia, Germania, Gran Bretagna, Norvegia, Ungheria
Exfuno Brasile, Chile
Stenkivar Nigeria
Trisk Brasile
Stabilità in soluzione   Iniezione   Stabilità in soluzione : Daptomycin     
contenitore Solvente Concentrazione Temperatura Conservazione Durata della stabilità Bibliografia
Vetro Acqua per preparato iniettabile 50 mg/ml 2-8°C Non precisata
48 Ora
2271
Dati di stabilità del produttore

Vetro Acqua per preparato iniettabile 50 mg/ml 25°C Non precisata
12 Ora
2271
Dati di stabilità del produttore

Vetro Cloruro di sodio 0,9% 50 mg/ml 2-8°C Non precisata
48 Ora
2271
Dati di stabilità del produttore

Vetro Cloruro di sodio 0,9% 50 mg/ml 2-8°C Al riparo dalla luce
7 Giorno
4074
Livello di evidenza C

Vetro Cloruro di sodio 0,9% 50 mg/ml 25°C Non precisata
12 Ora
2271
Dati di stabilità del produttore

Vetro Cloruro di sodio 0,9% 50 mg/ml 25°C Al riparo dalla luce
2 Giorno
4074
Livello di evidenza C

Vetro Physionéal® 1.36 (Baxter) 100 mg/ml 25°C Al riparo dalla luce
6 Ora
3218
Livello di evidenza D

Vetro Physionéal® 1.36 (Baxter) 100 mg/ml 37°C Al riparo dalla luce
6 Ora
3218
Livello di evidenza D

Vetro Physionéal® 1.36 (Baxter) 100 mg/ml 4°C Al riparo dalla luce
24 Ora
3218
Livello di evidenza D

Cloruro di polivinile Extraneal® (Baxter) 0,070 mg/ml 25°C Non precisata
24 Ora
4936
Livello di evidenza D

Cloruro di polivinile Extraneal® (Baxter) 0,245 mg/ml 25°C Non precisata
48 Ora
4936
Livello di evidenza D

Cloruro di polivinile Nutrineal® 50 & 200 mg/ml 37°C Al riparo dalla luce
6 Ora
3218
Livello di evidenza D

Cloruro di polivinile Nutrineal® 50 & 200 mg/ml 4°C Al riparo dalla luce
24 Ora
3218
Livello di evidenza D

Cloruro di polivinile Physionéal® 1.36 (Baxter) 0.02 mg/ml 25°C Non precisata
24 Ora
3439
Livello di evidenza D

Cloruro di polivinile Physionéal® 1.36 (Baxter) 0.02 mg/ml 37°C Non precisata
6 Ora
3439
Livello di evidenza D

Cloruro di polivinile Physionéal® 1.36 (Baxter) 50 & 200 mg/ml 25°C Al riparo dalla luce
6 Ora
3218
Livello di evidenza D

Cloruro di polivinile Physionéal® 1.36 (Baxter) 50 & 200 mg/ml 37°C Al riparo dalla luce
6 Ora
3218
Livello di evidenza D

Cloruro di polivinile Physionéal® 1.36 (Baxter) 50 & 200 mg/ml 4°C Al riparo dalla luce
24 Ora
3218
Livello di evidenza D

Cloruro di polivinile Physionéal® 2.27 (Baxter) 0.02 mg/ml 25°C Non precisata
24 Ora
3439
Livello di evidenza D

Cloruro di polivinile Physionéal® 2.27 (Baxter) 0.02 mg/ml 37°C Non precisata
6 Ora
3439
Livello di evidenza D

Cloruro di polivinile Dianéal® 2.5% glucose (Baxter) 0,070 mg/ml 25°C Non precisata
24 Ora
4936
Livello di evidenza D

Cloruro di polivinile Dianéal® 2.5% glucose (Baxter) 0,245 mg/ml 25°C Non precisata
12 Ora
4936
Livello di evidenza D

Polipropilene Cloruro di sodio 0,9% 14 mg/ml 2-8°C Al riparo dalla luce
7 Giorno
4074
Livello di evidenza C

Polipropilene Cloruro di sodio 0,9% 14 mg/ml 25°C Al riparo dalla luce
4 Giorno
4074
Livello di evidenza C

Polipropilene Cloruro di sodio 0,9% 5,6 mg/ml 2-8°C Al riparo dalla luce
7 Giorno
4074
Livello di evidenza C

Polipropilene Cloruro di sodio 0,9% 5,6 mg/ml 25°C Al riparo dalla luce
2 Giorno
4074
Livello di evidenza C

Non precisato Cloruro di sodio 0,9% ? mg/ml 2-8°C Non precisata
24 Ora
2271
Dati di stabilità del produttore

Non precisato Cloruro di sodio 0,9% ? mg/ml 25°C Non precisata
12 Ora
2271
Dati di stabilità del produttore


  Mentions Légales