最新更新 :
27/04/2026
抗菌薬   Daptomycin  
注射薬
溶媒内の安定性 混合時の安定性 安定性に影響する因子 互換性 投与経路 引用文献 PDF
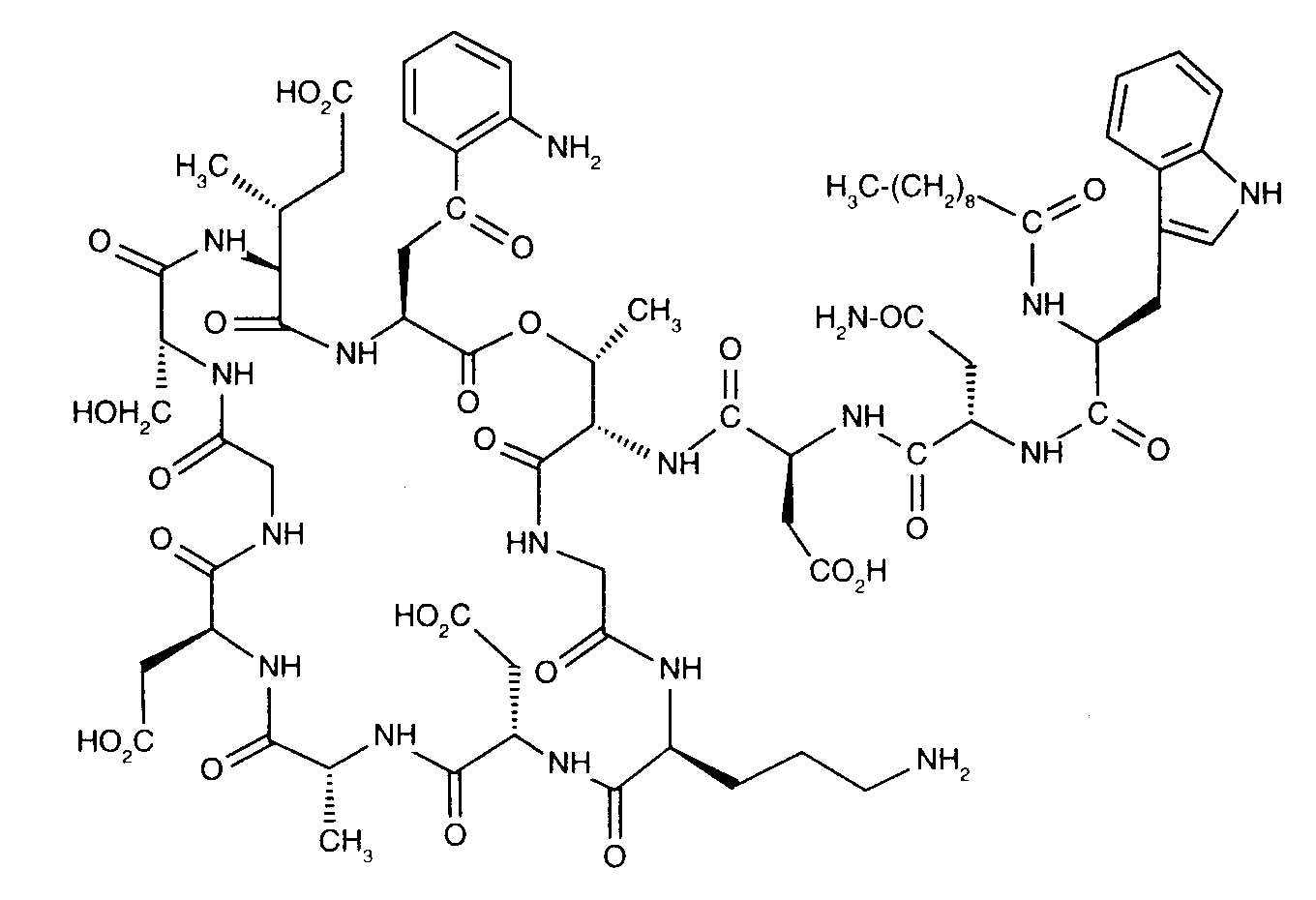
   化学構造  

商品名   商品名     

商品名、賦形剤は国、製薬会社ごとに異なることがあります

Cubicin アイスランド, アイルランド, アメリカ, アルゼンチン, アーストラリア, イギリス, イタリア, インド, オランダ, オーストリア, カナダ, ギリシア, コロンビア, スイス, スウェーデン, スペイン, チリ, デンマーク, トルコ, ドイツ, ニュージーランド, ノルウェー, ハンガリー, フィンランド, フランス, ベネズエラ, ポルトガル, ポーランド, マレーシア, メキシコ, ルーマニア, 日本
Daptomicina アルゼンチン, イタリア, スペイン
Daptomicine イギリス, ドイツ, ノルウェー, ハンガリー, フィンランド
Exfuno チリ, ブラジル
Stenkivar ナイジェリア
Trisk ブラジル
溶媒内の安定性   注射薬   溶媒内の安定性 : Daptomycin     
容器 溶媒 濃度 温度 保管 安定期間 引用文献
ガラス 注射用水 50 mg/ml 2-8°C 特記なし
48 時間
2271
製薬会社の安定性データ

ガラス 注射用水 50 mg/ml 25°C 特記なし
12 時間
2271
製薬会社の安定性データ

ガラス NaCl 0,9% 50 mg/ml 2-8°C 特記なし
48 時間
2271
製薬会社の安定性データ

ガラス NaCl 0,9% 50 mg/ml 2-8°C 遮光
7 日
4074
エビデンスレベル C

ガラス NaCl 0,9% 50 mg/ml 25°C 特記なし
12 時間
2271
製薬会社の安定性データ

ガラス NaCl 0,9% 50 mg/ml 25°C 遮光
2 日
4074
エビデンスレベル C

ガラス Physionéal® 1.36 (Baxter) 100 mg/ml 25°C 遮光
6 時間
3218
エビデンスレベル D

ガラス Physionéal® 1.36 (Baxter) 100 mg/ml 37°C 遮光
6 時間
3218
エビデンスレベル D

ガラス Physionéal® 1.36 (Baxter) 100 mg/ml 4°C 遮光
24 時間
3218
エビデンスレベル D

ポリ塩化ビニル(PVC) Extraneal® (Baxter) 0,070 mg/ml 25°C 特記なし
24 時間
4936
エビデンスレベル D

ポリ塩化ビニル(PVC) Extraneal® (Baxter) 0,245 mg/ml 25°C 特記なし
48 時間
4936
エビデンスレベル D

ポリ塩化ビニル(PVC) Nutrineal® 50 & 200 mg/ml 37°C 遮光
6 時間
3218
エビデンスレベル D

ポリ塩化ビニル(PVC) Nutrineal® 50 & 200 mg/ml 4°C 遮光
24 時間
3218
エビデンスレベル D

ポリ塩化ビニル(PVC) Physionéal® 1.36 (Baxter) 0.02 mg/ml 25°C 特記なし
24 時間
3439
エビデンスレベル D

ポリ塩化ビニル(PVC) Physionéal® 1.36 (Baxter) 0.02 mg/ml 37°C 特記なし
6 時間
3439
エビデンスレベル D

ポリ塩化ビニル(PVC) Physionéal® 1.36 (Baxter) 50 & 200 mg/ml 25°C 遮光
6 時間
3218
エビデンスレベル D

ポリ塩化ビニル(PVC) Physionéal® 1.36 (Baxter) 50 & 200 mg/ml 37°C 遮光
6 時間
3218
エビデンスレベル D

ポリ塩化ビニル(PVC) Physionéal® 1.36 (Baxter) 50 & 200 mg/ml 4°C 遮光
24 時間
3218
エビデンスレベル D

ポリ塩化ビニル(PVC) Physionéal® 2.27 (Baxter) 0.02 mg/ml 25°C 特記なし
24 時間
3439
エビデンスレベル D

ポリ塩化ビニル(PVC) Physionéal® 2.27 (Baxter) 0.02 mg/ml 37°C 特記なし
6 時間
3439
エビデンスレベル D

ポリ塩化ビニル(PVC) Dianéal® 2.5% glucose (Baxter) 0,070 mg/ml 25°C 特記なし
24 時間
4936
エビデンスレベル D

ポリ塩化ビニル(PVC) Dianéal® 2.5% glucose (Baxter) 0,245 mg/ml 25°C 特記なし
12 時間
4936
エビデンスレベル D

ポリプロピレン NaCl 0,9% 14 mg/ml 2-8°C 遮光
7 日
4074
エビデンスレベル C

ポリプロピレン NaCl 0,9% 14 mg/ml 25°C 遮光
4 日
4074
エビデンスレベル C

ポリプロピレン NaCl 0,9% 5,6 mg/ml 2-8°C 遮光
7 日
4074
エビデンスレベル C

ポリプロピレン NaCl 0,9% 5,6 mg/ml 25°C 遮光
2 日
4074
エビデンスレベル C

指定なし NaCl 0,9% ? mg/ml 2-8°C 特記なし
24 時間
2271
製薬会社の安定性データ

指定なし NaCl 0,9% ? mg/ml 25°C 特記なし
12 時間
2271
製薬会社の安定性データ


  Mentions Légales