Останнє оновлення :
27/04/2026
Знеболювальний   Hydromorphone hydrochloride  
ін'єкція
Стійкість в розчинах Стійкість сумішей Фактори, що впливають на стабільність Сумісність Шлях введення Список літератури pdf
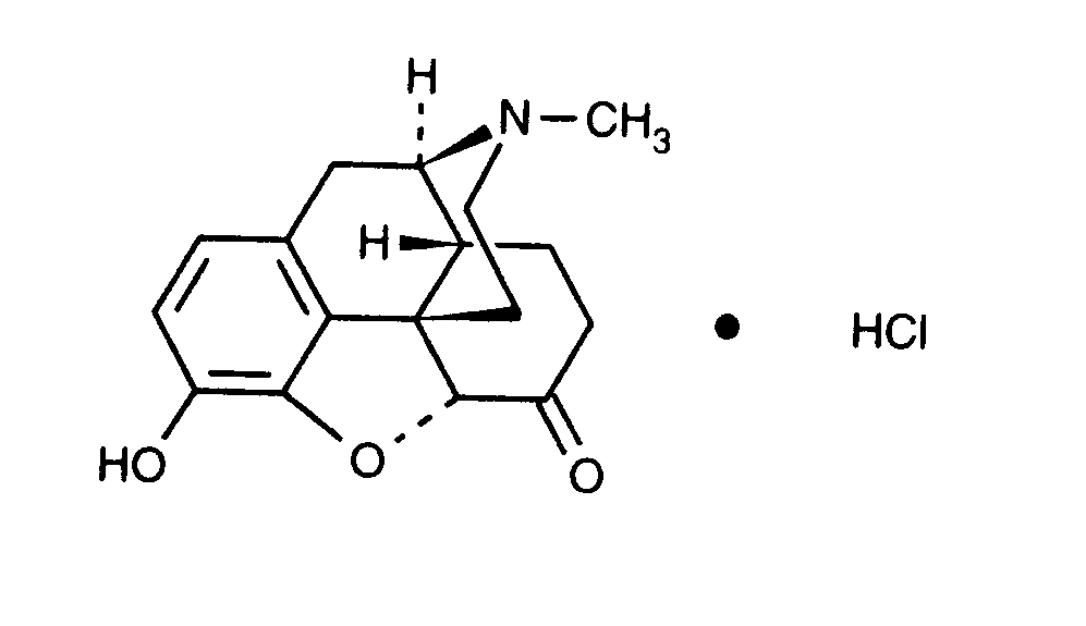
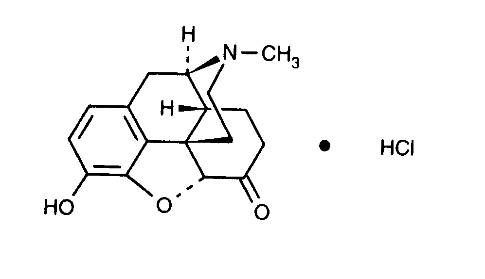
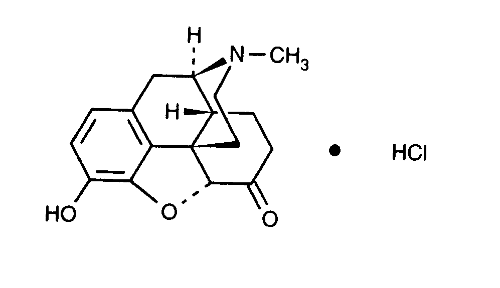
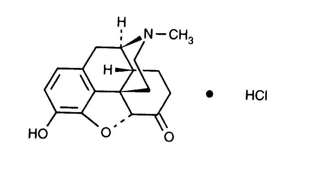
   Хімічна структура  

Торгова назва   Торгова назва     

Торгові назви є орієнтовними, а склад допоміжних речовин може бути різним залежно від країни та виробника

Dilaudid Канада, Сполучені Штати Америки
Hydal Австрія
Palladon Данія, Швейцарія
Palladone Великобританія
Шлях введення   Шлях введення :Hydromorphone hydrochloride     
Маршрут
Внутрішньовенне
Внутрішньовенне вливання
Внутрішньом'язове
Підшкірний
Підшкірна інфузія

  Mentions Légales