Utolsó frissítés :
27/01/2026
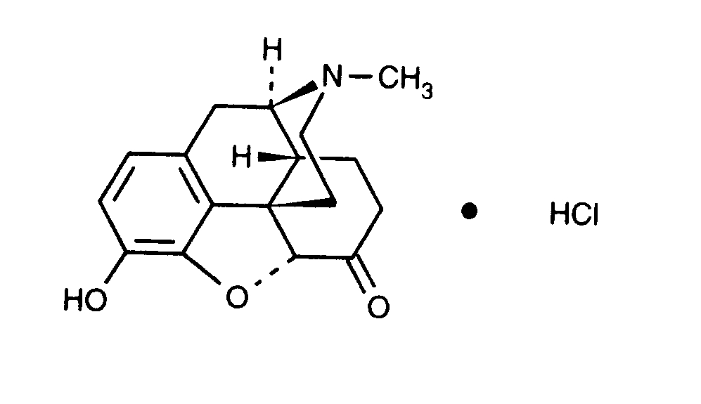
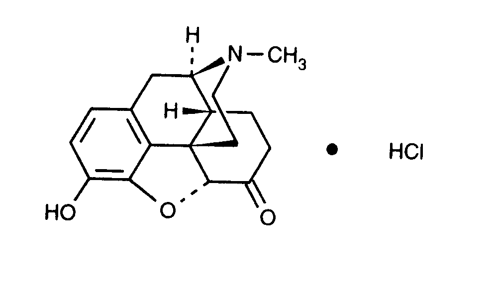
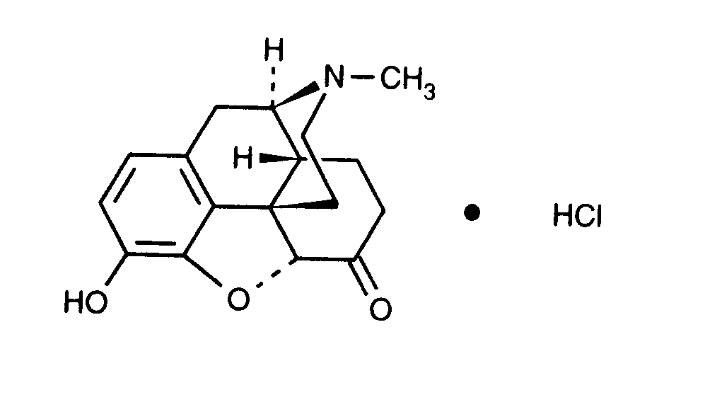
Fájdalomcsillapító   Hydromorphone hydrochloride  
Injekció
Az oldatok stabilitása A keverékek stabilitása Stabilitást befolyásoló tényezők Kompatibilitás Az alkalmazás módja Irodalom pdf
   Kémiai szerkezet   

Kereskedelmi név   Kereskedelmi név     

A kereskedelmi név meghatározó jelentőségű: a készítmények összetétele országonként, előállítóként eltérő lehet

Dilaudid Amerikai Egyesült Államok, Kanada
Hydal Ausztria
Palladon Dánia, Svájc
Palladone Nagy-Britannia
Az alkalmazás módja   Az alkalmazás módja :Hydromorphone hydrochloride     
Voie
Intravénás
Intravénás infúzió
Intramuszkuláris
Szubkután
Szubkután infúzió

  Mentions Légales