Última actualização :
27/04/2026
Antálgico   Hydromorphone hydrochloride  
injetável
Estabilidade em soluções simples Estabilidade em misturas Factores que afectam a sua estabilidade Compatibilidade Método de administração Bibliografía pdf
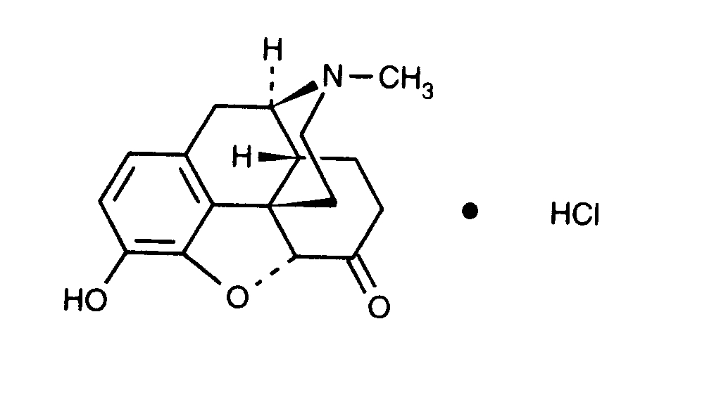
   estrutura química  

Nomes comerciais nos diversos países   Nomes comerciais nos diversos países     

OS NOMES COMERCIAIS SÃO INDICATIVOS E OS EXCIPIENTES DA FORMULAÇÃO PODEM SER DIFERENTES CONFORME O PAÍS E FABRICANTE.

Dilaudid Canadá, Estados Unidos de América
Hydal Austria
Palladon Dinamarca, Suicia
Palladone Gran-bretanha
Método de administração   Método de administração :Hydromorphone hydrochloride     
Voie
intravenoso
perfusão intravenosa
intramuscular
Subcutánea
Perfusão subcutánea

  Mentions Légales