Dernière mise à jour :
27/01/2026
Antalgique   Hydromorphone hydrochloride  
injectable
Stabilité des solutions Stabilité en mélange Facteur influençant la stabilité Compatibilités Voie d’administration Bibliographie pdf
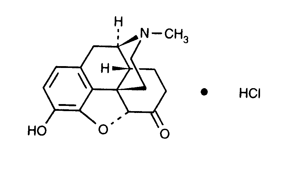
   Structure chimique  

Noms commerciaux   Noms commerciaux     

Les noms commerciaux sont donnés à titre indicatif et la composition en excipients peut être différente selon les pays et selon les laboratoires

Dilaudid Canada, Etats Unis d’Amérique
Hydal Autriche
Palladon Danemark, Suisse
Palladone Grande Bretagne
Voie d’administration   Voie d’administration :Hydromorphone hydrochloride     
Voie
Intraveineuse
Perfusion intraveineuse
Intramusculaire
Sous cutanée
Perfusion sous-cutanée

  Mentions Légales