Последнее обновление :
27/01/2026
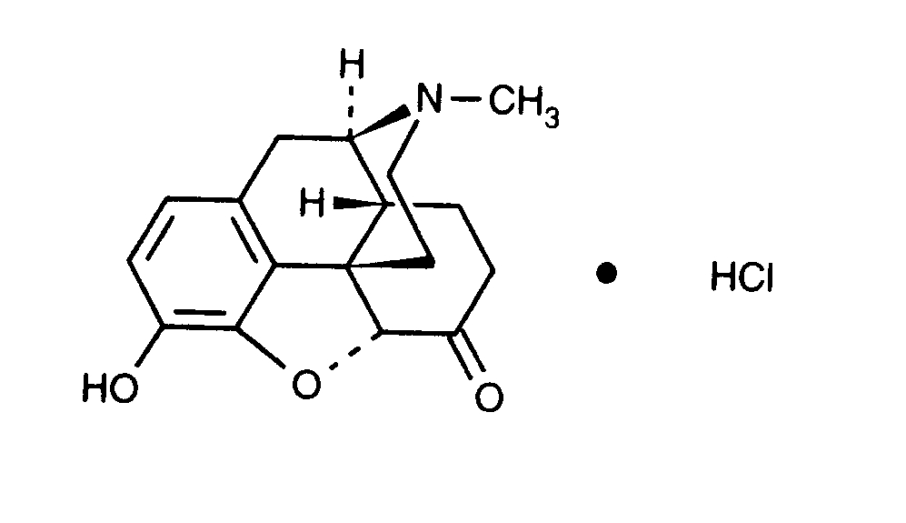
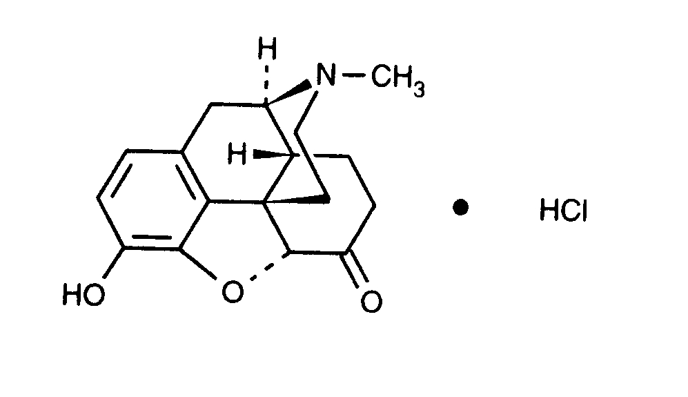
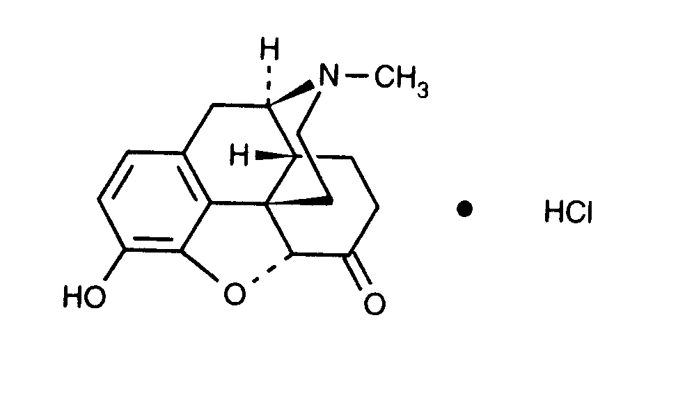
Анальгетик   Hydromorphone hydrochloride  
Инъекция
Стабильность растворов Стабильность смесей Факторы, которые влияют на стабильность Совместимость Способы введения Библиография pdf
   Химическая структура  

Товарное название   Товарное название     

Trade names are indicative and excipients composition can be different depending on the country and manufacturers

Dilaudid Канада, Соединённые Штаты Америки
Hydal Австрия
Palladon Дания, Швейцария
Palladone Великобритания
Способы введения   Способы введения :Hydromorphone hydrochloride     
Voie
Интравенный, внутривенный
Интравенная, внутривенная инфузия
Внутримышечный
Подкожная инъекция
Подкожная инфузия

  Mentions Légales