آخر تحديث :
27/04/2026
مسكن   Hydromorphone hydrochloride  
حقن
الاستقرار في حلول استقرار مخاليط العوامل التي تؤثر على الاستقرار التوافق طريقة التعاطي مراجع pdf
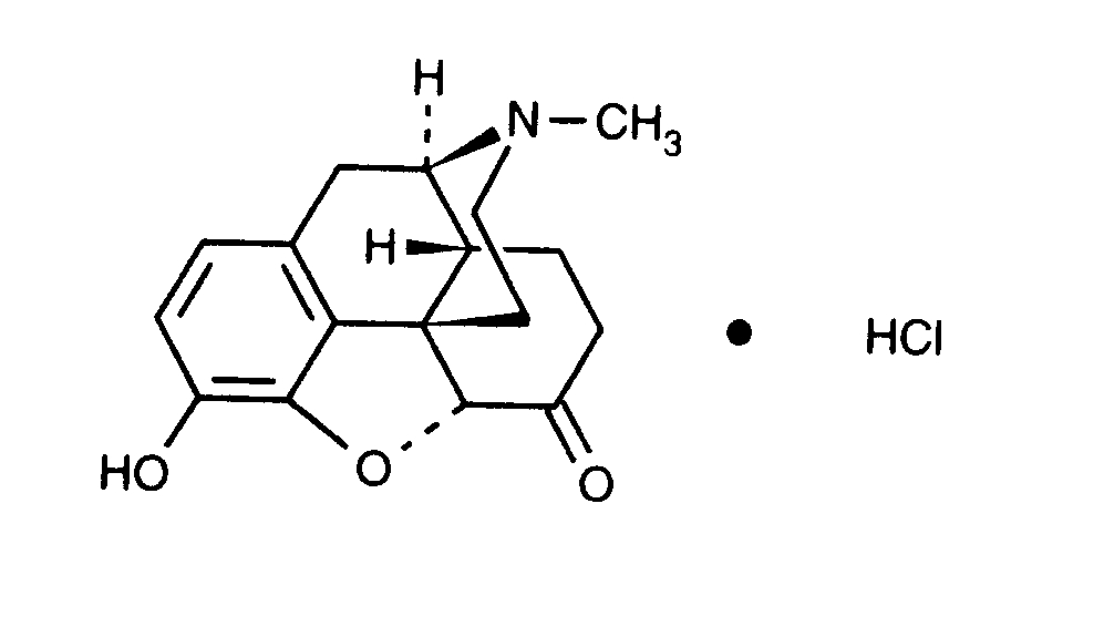
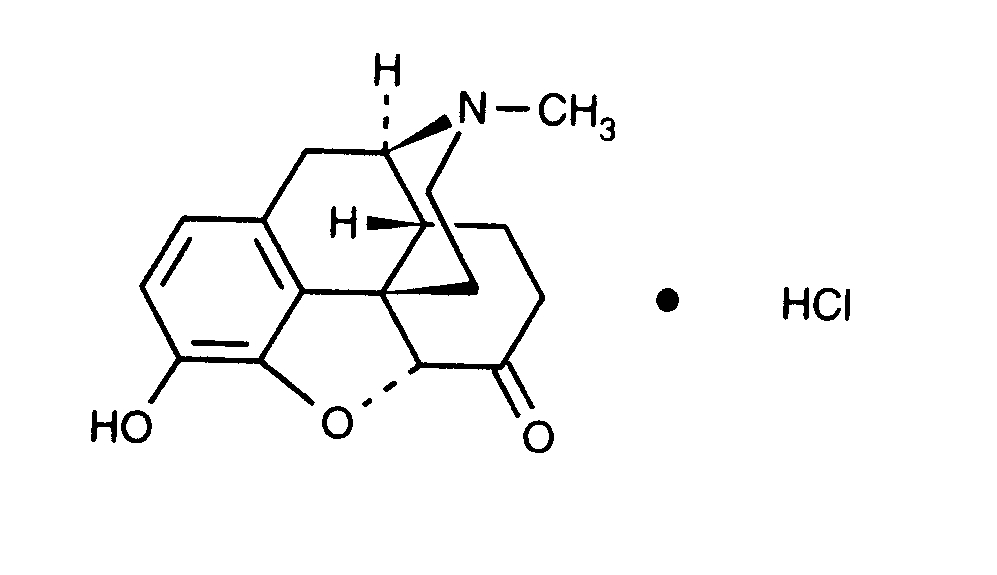
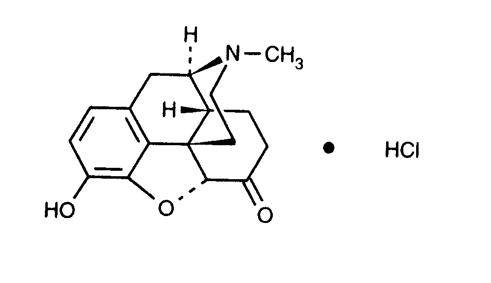
   التركيب الكيميائي  

حجز الاسم التجاري   حجز الاسم التجاري     

تحذير الأسماء التجاريه المختلفه قد تحتوي علي محتوي إضافات مختلفة حسب الدوله و المعمل

Dilaudid الولايات المتحدة, كندا
Hydal النمسا
Palladon الدنمارك, سويسرا
Palladone بريطانيا العظمي
طريقة التعاطي   طريقة التعاطي :Hydromorphone hydrochloride     
Voie
وريدي
الحقن الوريدي   المستمر
الحقن في  العضلة
تحت الجلد
 الحقن تحت الجلد

  Mentions Légales