Posledná aktualizácia :
27/01/2026
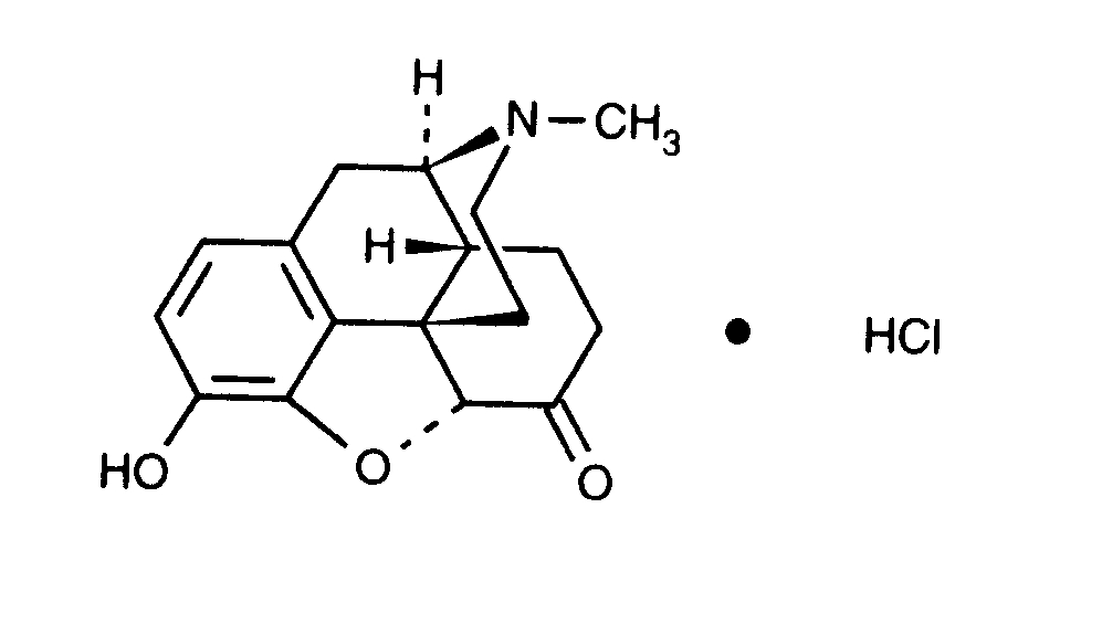
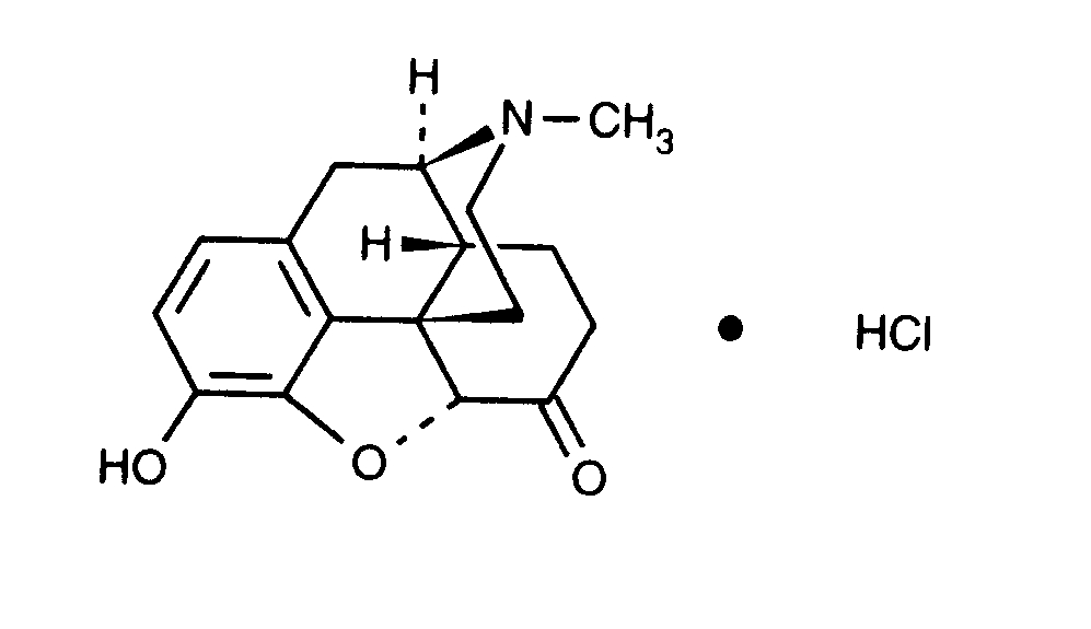
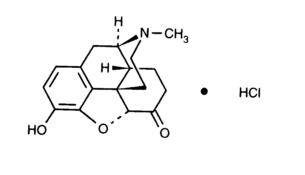
analgetikum   Hydromorphone hydrochloride  
Injekcia
Stabilita roztokov Stabilita v zmesiach Faktory ovplyvňujúce stabilitu Kompatibility spôsob podania Odkazy na literatúru PDF
   Chemický vzorec  

Obchodný názov   Obchodný názov     

Obchodné názvy sú orientačné, a zloženie pomocných látok sa môže líšiť v závislosti od krajiny a výrobcu.

Dilaudid Kanada, Spojené štáty Americké
Hydal Rakúsko
Palladon Dánsko, Švajčiarsko
Palladone Veľká Británia
spôsob podania   spôsob podania :Hydromorphone hydrochloride     
Voie
intravenózne
intravenózna infúzia
intramuskulárne
subkutánne
subkutánna infúzia

  Mentions Légales