Poslední aktualizace :
27/04/2026
Analgetikum   Hydromorphone hydrochloride  
injekce
Stabilita roztoků Stabilita směsí Faktory ovlivňující stabilitu Kompatibilita Způsoby aplikace Odkazy pdf
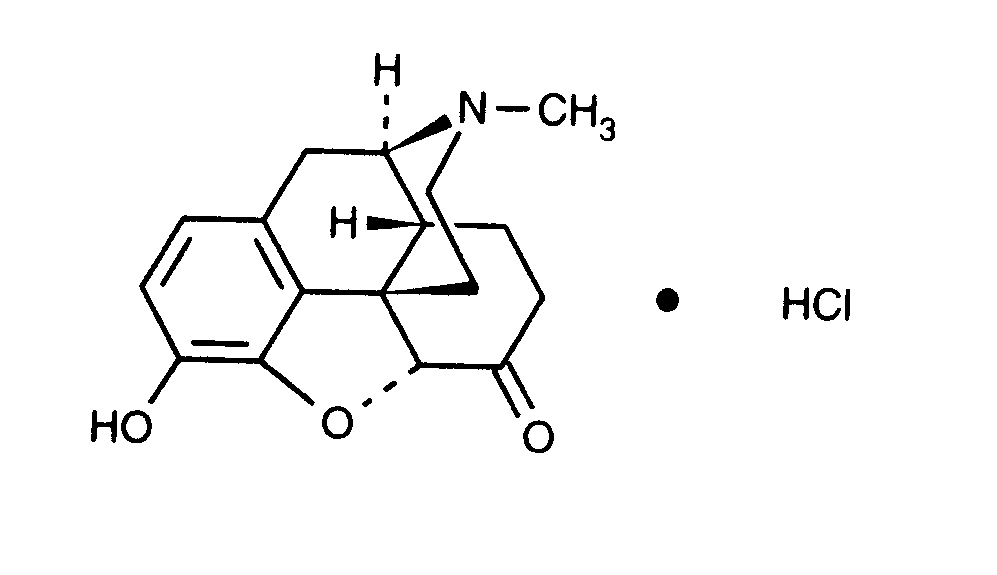
   Chemický vzorec  

Obchodní název   Obchodní název     

Trade names are indicative and excipients composition can be different depending on the country and manufacturers

Dilaudid Kanada, USA
Hydal Rakousko
Palladon Dánsko, Švýcarsko
Palladone Velká Británie
Způsoby aplikace   Způsoby aplikace :Hydromorphone hydrochloride     
Voie
intravenÛznÏ
Intravenózní infúze
intramuskulárně
PodkoûnÌ
Podkožní infúze

  Mentions Légales