Siste oppdatering :
27/01/2026
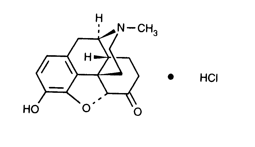
Analgetika   Hydromorphone hydrochloride  
Injeksjon
Oppløsningsstabilitet Stabilitet i blandinger Faktorer som påvirker stabiliteten Kompatibilitet Administrasjonsmåte Referanser pdf
   Kjemisk struktur  

Handelsnavn   Handelsnavn     

Handelsnavn er veiledende og sammensetning av hjelpestoffer kan være forskjellig avhengig av land og produsent

Dilaudid Canada, USA
Hydal Østerrike
Palladon Danmark, Sveits
Palladone Storbritannia
Administrasjonsmåte   Administrasjonsmåte :Hydromorphone hydrochloride     
Voie
Intravenøs
Intravenøs infusjon
Intramuskulær
Subkutan
Subkutan infusjon

  Mentions Légales