Senaste uppdateringen :
27/04/2026
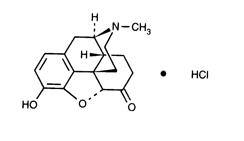
Analgetikum   Hydromorphone hydrochloride  
injektion
Lösningars stabilitet Stabilitet i blandningar Faktorer som påverkar stabiliteten Kompatibilitet Administreringssätt Hänvisningar pdf
   Molekylstruktur  

Varunamn   Varunamn     

Angivna handelsnamn på läkemedel är enbart vägledande då formulering inklusive hjälpämnen kan variera mellan länder och tillverkare

Dilaudid Förenta Staterna, Kanada
Hydal Österrike
Palladon Danmark, Schweiz
Palladone Storbritannien
Administreringssätt   Administreringssätt :Hydromorphone hydrochloride     
Voie
Intravenös
Intravenös infusion
Intramuskulär
Subkutan
Subkutan infusion

  Mentions Légales