Pēdējā atjaunošana :
27/01/2026
Analgētiķis   Hydromorphone hydrochloride  
Injekcija
Šķīduma stabilitāte Maisījuma stabilitāte Stabilitāti ietekmējoši faktori Saderība Levadīšanas veids Literatūras saraksts pdf
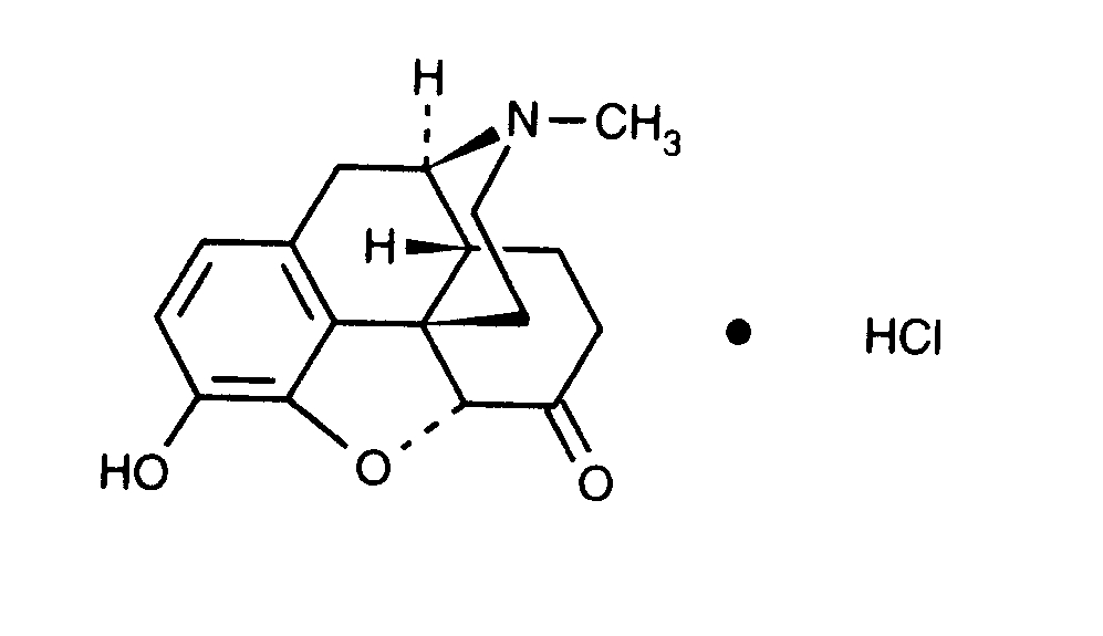
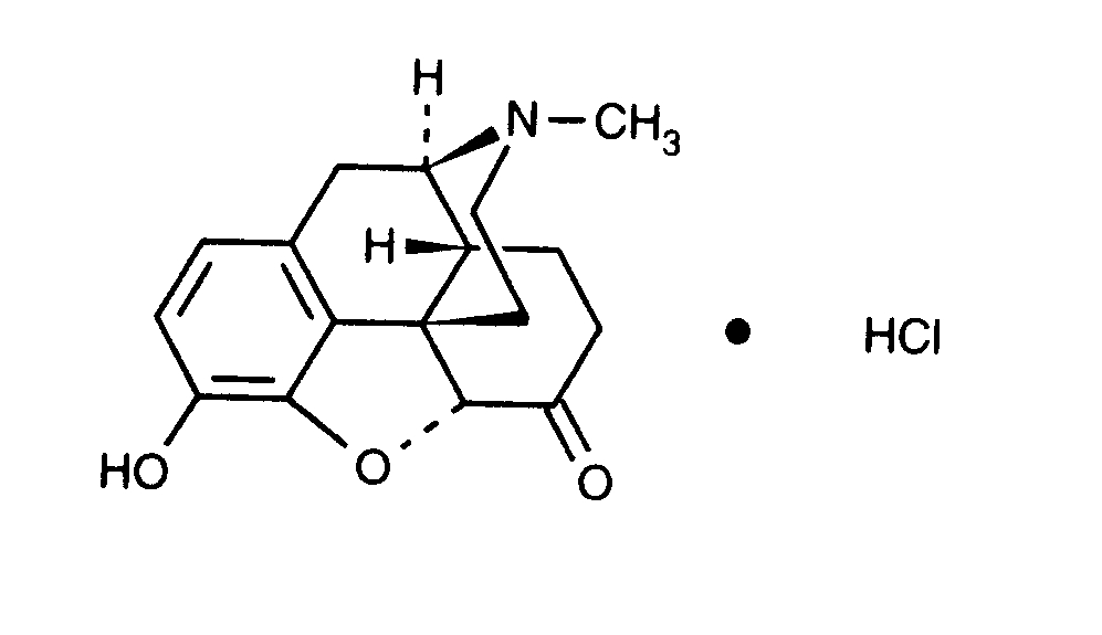
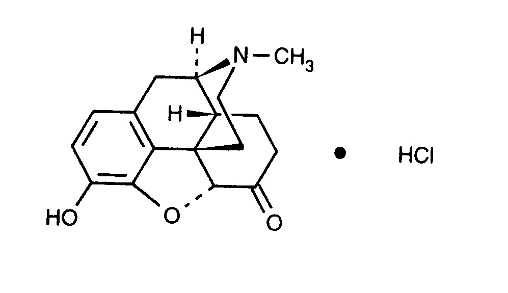
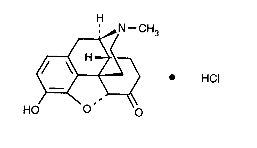
   Ķīmiskā uzbūve   

Oriģinālais nosaukums   Oriģinālais nosaukums     

Tirdzniecības nosaukumi ir apzīmējoši un palīgvielas var atšķirties dažādām valstīm un laboratorijām

Dilaudid Amerikas Savienotās Valstis, Kanāda
Hydal Austrija
Palladon Dānija, Šveice
Palladone Lielbritānija
Levadīšanas veids   Levadīšanas veids :Hydromorphone hydrochloride     
Voie
Intravenozi
Intravenoza infūzija
Intramuskulāri
Zem ādas
Zemādas infūzija

  Mentions Légales