Ostatnia aktualizacja :
27/04/2026
Przeciwbólowy   Hydromorphone hydrochloride  
Injekcje
Trwałość roztworów Trwałość w mieszaninie Czynnik wpływający na trwałość Zgodność Sposób podania Bibliografia pdf
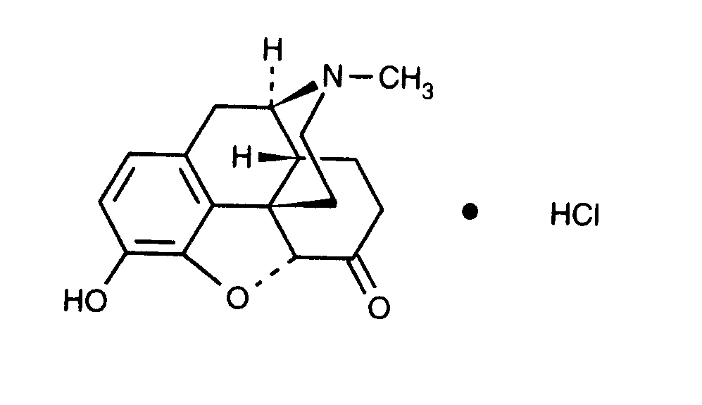
   Struktura chemiczna  

Nazwa handlowa   Nazwa handlowa     

Trade names are indicative and excipients composition can be different depending on the country and manufacturers

Dilaudid Kanada, Stany Zjednoczone Ameryki
Hydal Austria
Palladon Dania, Szwajcaria
Palladone Wielka Brytania
Sposób podania   Sposób podania :Hydromorphone hydrochloride     
Voie
Podanie dożylne
Wlew dożylny
Podanie domięśniowe
Poskórnie
Ciągły wlew podskórny

  Mentions Légales