zadnja posodobitev :
27/04/2026
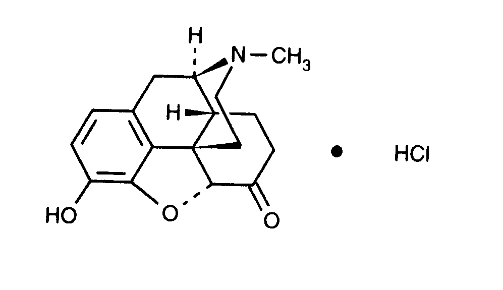
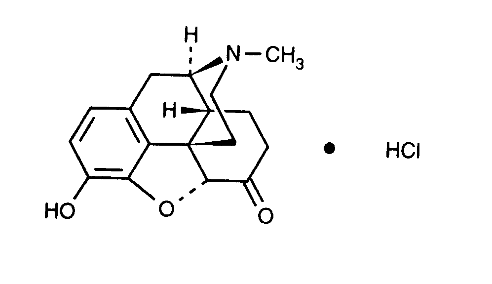
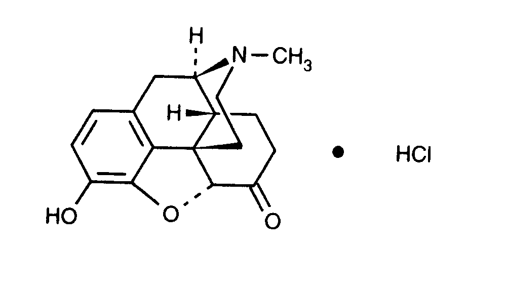
Analgetik   Hydromorphone hydrochloride  
Brizgalka
Stabilnost raztopine Stabilnost mešanice Faktorji, ki vplivajo na stabilnost Kompatibilnost način aplikacije Viri pdf
   Kemična formula  

Lastniško ime   Lastniško ime     

Sestava pomožnih snovi je med paralelami lahko različna

Dilaudid Kanada, Združene države Amerike
Hydal Avstrija
Palladon Danska, Švica
Palladone Velika Britanija
način aplikacije   način aplikacije :Hydromorphone hydrochloride     
Voie
Intravensko
Intravenska infuzija
Intramuskularno
Podkožno
Podkožna perfuzija

  Mentions Légales