Laatste update :
27/04/2026
Analgeticum   Hydromorphone hydrochloride  
injecteerbaar geneesmiddel
Stabiliteit in oplossing Stabiliteit in mengsels Factoren die de stabiliteit beïnvloeden Verenigbaarheden Toedieningswijze Literatuur pdf
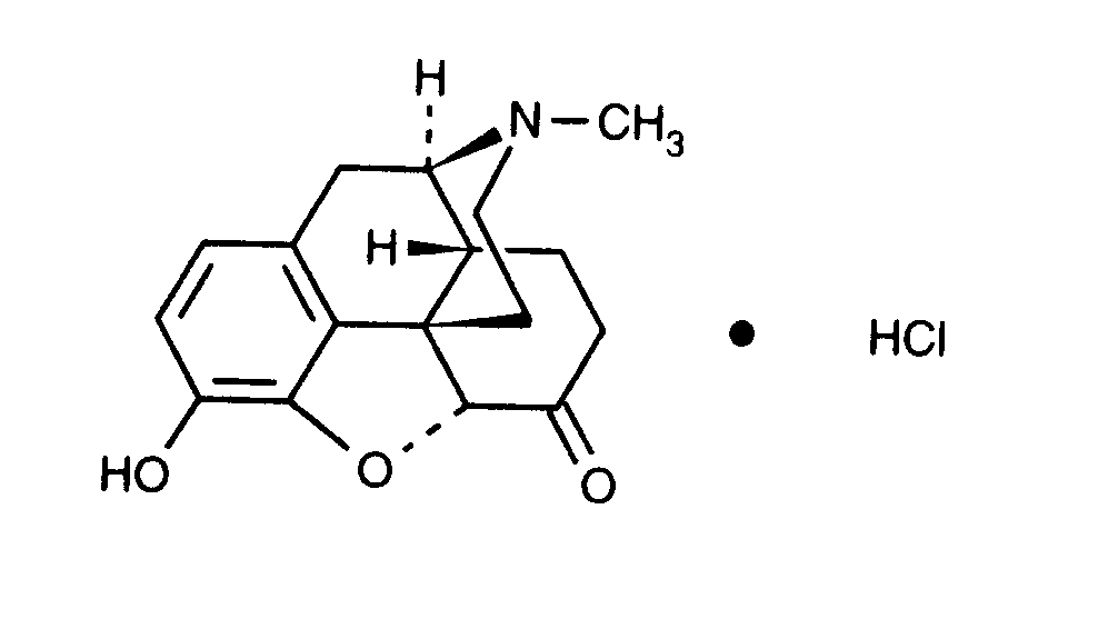
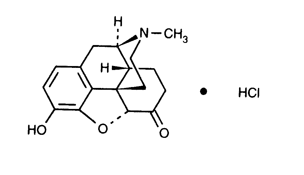
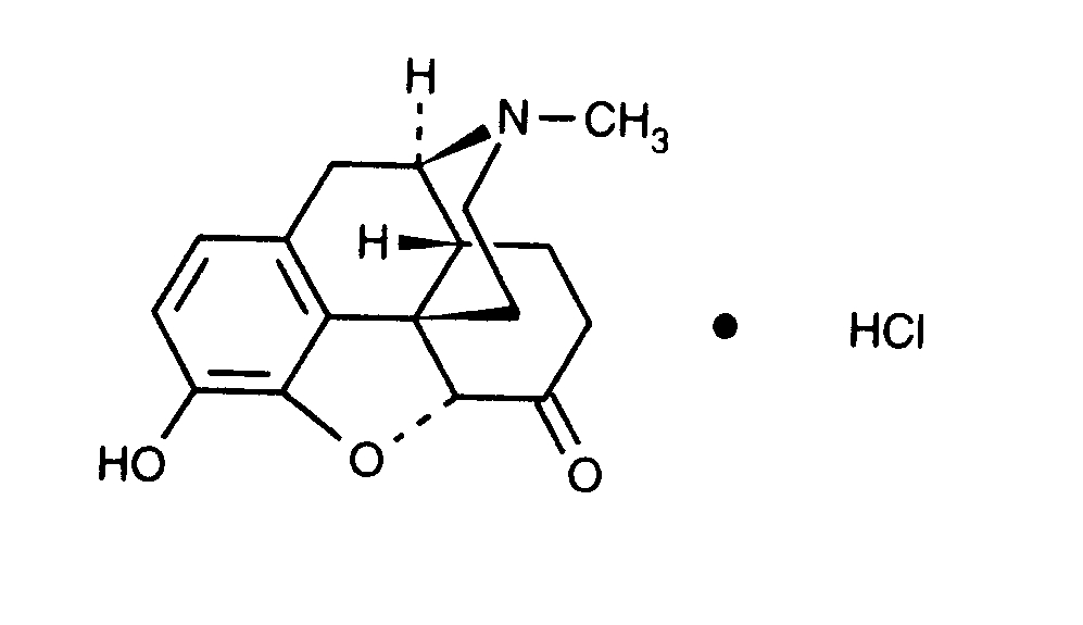
   Molecuulstructuur  

Merknamen in verschillende landen   Merknamen in verschillende landen     

Handelsnamen zijn slechts een indicatie; de samenstelling van hulpstoffen kan per land variëren afhankelijk van de fabrikant

Dilaudid Canada, USA
Hydal Oostenrijk
Palladon Denemarken, Zwitserland
Palladone Groot Britannië
Toedieningswijze   Toedieningswijze :Hydromorphone hydrochloride     
Voie
Intraveneus
Intraveneus infuus
Intramusculair
Subcutaan
Subcutaan infuus

  Mentions Légales