Laatste update :
25/03/2026
Anticoagulans   Bivalirudin  
injecteerbaar geneesmiddel
Stabiliteit in oplossing Stabiliteit in mengsels Factoren die de stabiliteit beïnvloeden Verenigbaarheden Toedieningswijze Literatuur pdf
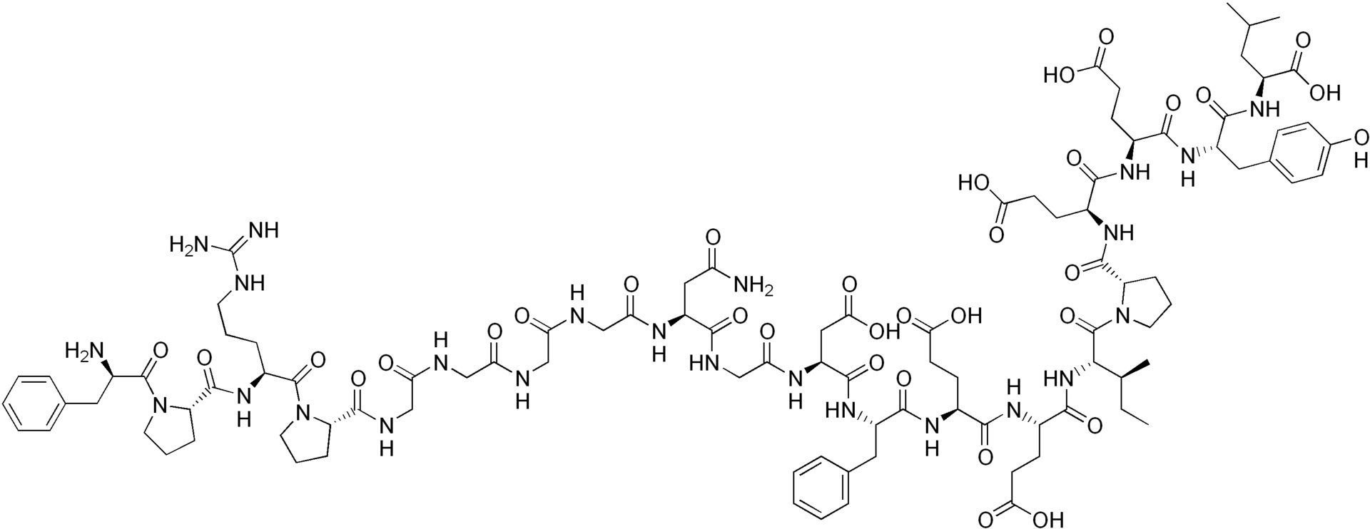
   Molecuulstructuur  

Merknamen in verschillende landen   Merknamen in verschillende landen     

Handelsnamen zijn slechts een indicatie; de samenstelling van hulpstoffen kan per land variëren afhankelijk van de fabrikant

Amuprux Argentinië
Angiomax Australië, Canada, Chili, nieuw Zeeland, Peru, USA, Venezuela
Angiox Denemarken, Finland, Griekenland, Groot Britannië, Hongarije, IJsland, Italië, Nederland, Noorwegen, Oostenrijk, Polen, Roemenië, Slovenië, Spanje, USA
Bivalirudin België, Denemarken, Duitsland, Finland, Groot Britannië, Slovenië, Zweden
Bivalirudina Italië, Spanje
Literatuur   injecteerbaar geneesmiddel   Literatuur : Bivalirudin  
type publicatie
1713 Artikel Trissel LA, Saenz CA.
Compatibility screening of bivalirudin during simulated Y-site administration with other drugs.
Int J Pharm Compound 2002 ; 6: 311-315.
1944 Artikel Hartman CA, Faria CE, Mago K.
Visual compatibility of bivalirudin with selected drugs.
Am J Health-Syst Pharm 2004 ; 61: 1774.
3539 fabrikant Bivalirudin (Angiox®) - Summary of Product Characteristics.
The Medecines Company 2013

  Mentions Légales