Последно актуализиране :
25/03/2026
Антикоагулант   Bivalirudin  
Инжекция/Инжекционен
Стабилност на разтвори Стабилност на смеси Фактори, повлияващи стабилността Съвместимост Път на въвеждане Библиография Pdf
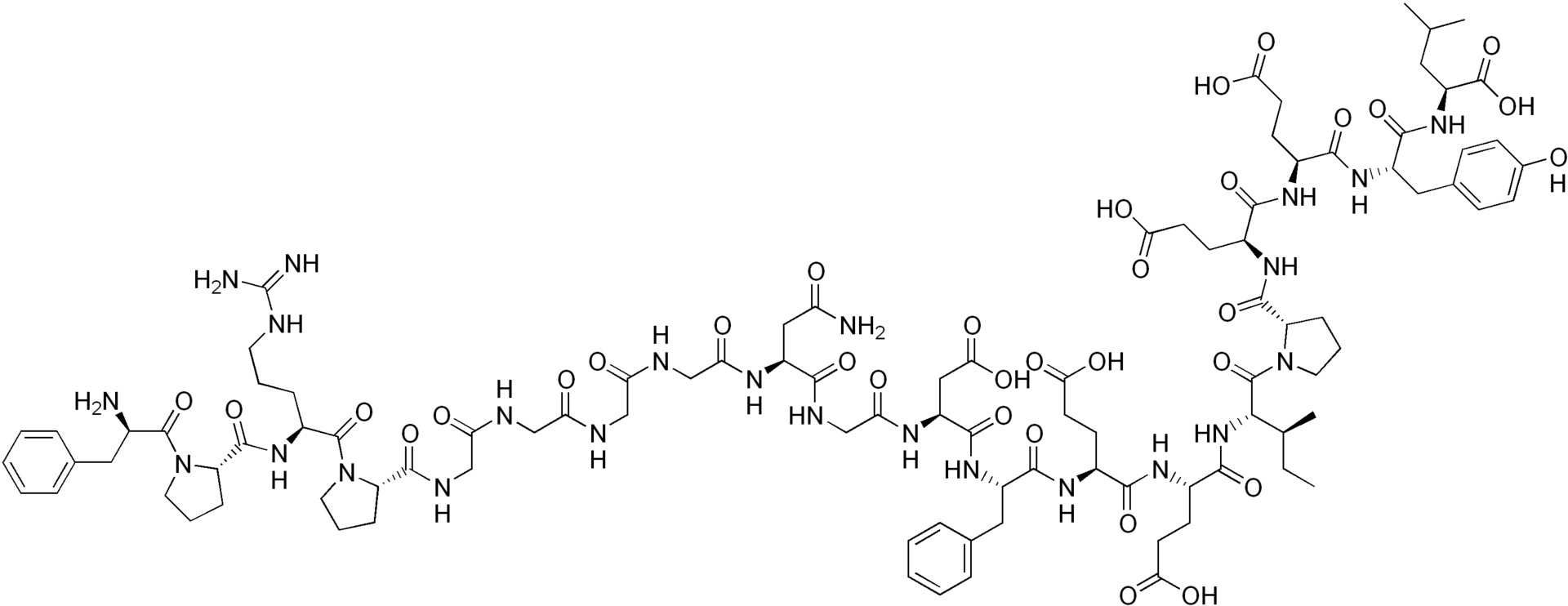
   Химична структура  

Търговско наименование   Търговско наименование     

Търговските имена са примерни и съставът на помощните вещества може да бъде различен в зависимост от държавата и лабораториите

Amuprux Аржентина
Angiomax Австралия, Венецуела, Канада, нова Зеландия, Перу, Съединени Американски щати / САЩ, Чили
Angiox Австрия, Великобритания, Гърция, Дания, Исландия, Испания, Италия, Норвегия, Полша, Румъния, Словения, Съединени Американски щати / САЩ, Унгария, Финландия, Холандия
Bivalirudin Белгия, Великобритания, Германия, Дания, Словения, Финландия, Швеция
Bivalirudina Испания, Италия
Библиография   Инжекция/Инжекционен   Библиография : Bivalirudin  
Вид Публикация
1713 Списание Trissel LA, Saenz CA.
Compatibility screening of bivalirudin during simulated Y-site administration with other drugs.
Int J Pharm Compound 2002 ; 6: 311-315.
1944 Списание Hartman CA, Faria CE, Mago K.
Visual compatibility of bivalirudin with selected drugs.
Am J Health-Syst Pharm 2004 ; 61: 1774.
3539 Лаборатория Bivalirudin (Angiox®) - Summary of Product Characteristics.
The Medecines Company 2013

  Mentions Légales