最新更新 :
25/03/2026
抗凝血药   Bivalirudin  
注射液
溶液稳定性 混合物稳定性 影响稳定性的因素 兼容性 用药途径 引用文献 PDF
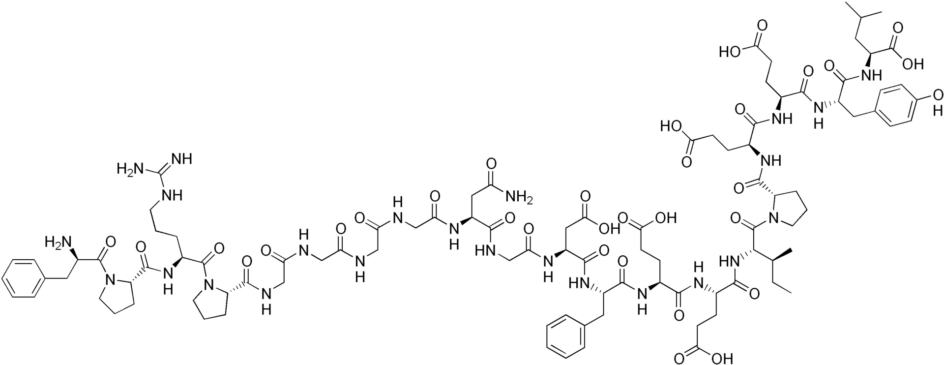
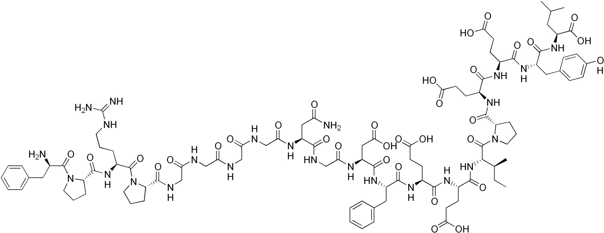
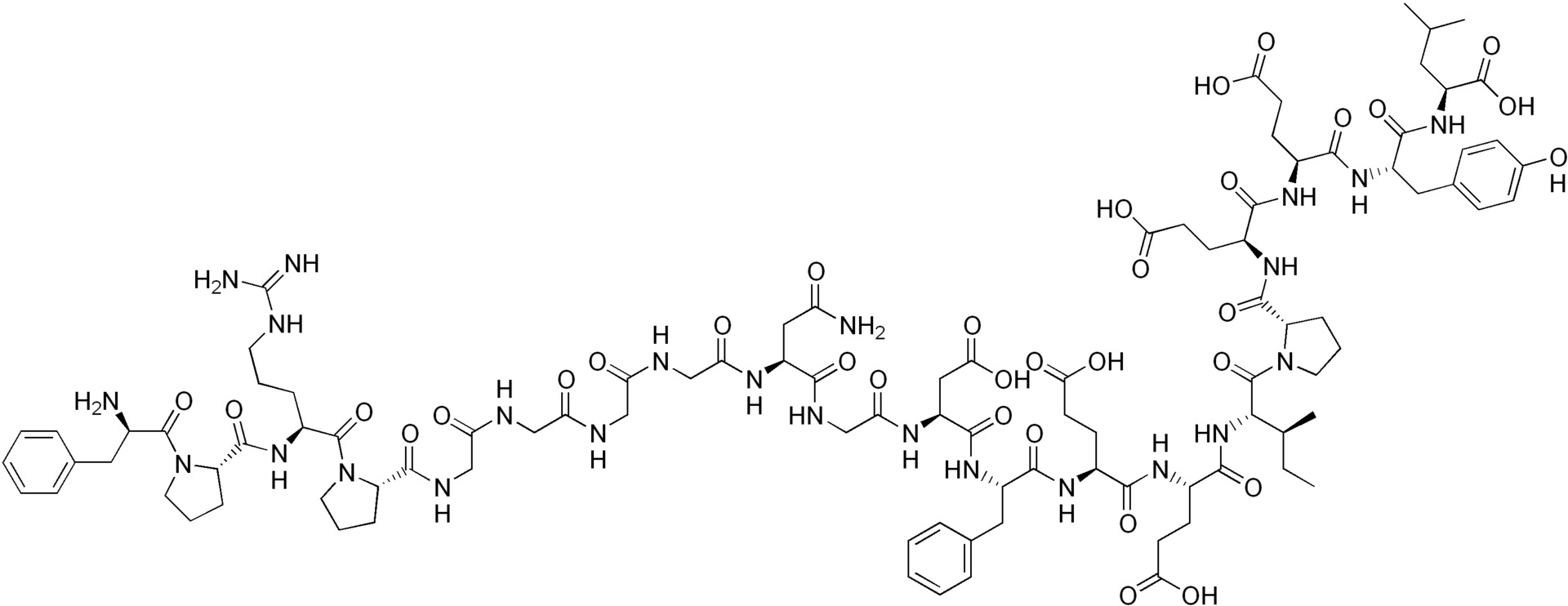
   化学式  

商品名   商品名     

商品名仅供参考, 药品所用的辅料可能依国家或厂商不同有所不同。

Amuprux 阿根廷
Angiomax 加拿大, 委内瑞拉, 新西蘭, 智利, 澳大利亚, 秘鲁, 美国
Angiox 丹麦, 冰岛, 匈牙利, 奥地利, 希腊, 意大利, 挪威, 斯洛文尼亚, 波兰, 罗马尼亚, 美国, 芬兰, 英国, 荷兰, 西班牙
Bivalirudin 丹麦, 德国, 斯洛文尼亚, 比利时, 瑞典, 芬兰, 英国
Bivalirudina 意大利, 西班牙
引用文献   注射液   引用文献 : Bivalirudin  
种类 出版物
1713 文献 Trissel LA, Saenz CA.
Compatibility screening of bivalirudin during simulated Y-site administration with other drugs.
Int J Pharm Compound 2002 ; 6: 311-315.
1944 文献 Hartman CA, Faria CE, Mago K.
Visual compatibility of bivalirudin with selected drugs.
Am J Health-Syst Pharm 2004 ; 61: 1774.
3539 实验室 Bivalirudin (Angiox®) - Summary of Product Characteristics.
The Medecines Company 2013

  Mentions Légales