Pēdējā atjaunošana :
25/03/2026
Antikoagulants   Bivalirudin  
Injekcija
Šķīduma stabilitāte Maisījuma stabilitāte Stabilitāti ietekmējoši faktori Saderība Levadīšanas veids Literatūras saraksts pdf
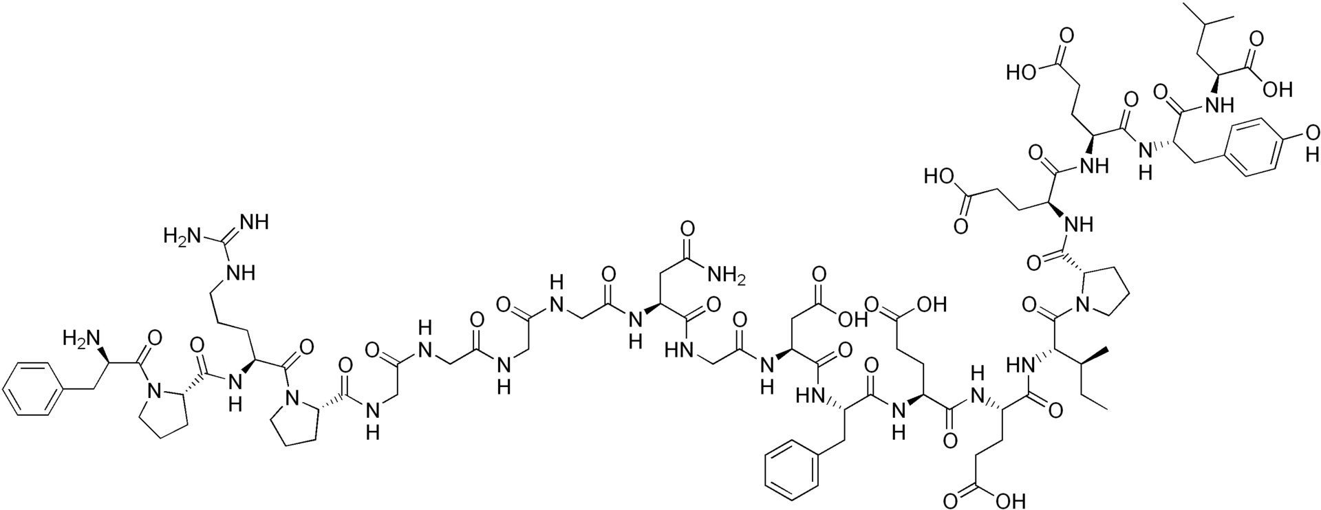
   Ķīmiskā uzbūve   

Oriģinālais nosaukums   Oriģinālais nosaukums     

Tirdzniecības nosaukumi ir apzīmējoši un palīgvielas var atšķirties dažādām valstīm un laboratorijām

Amuprux Argentīna
Angiomax Amerikas Savienotās Valstis, Austrālija, Čīle, Jaunzēlande, Kanāda, Peru, Venecuēla
Angiox Amerikas Savienotās Valstis, Austrija, Dānija, Grieķija, Holande, Islande, Itālija, Lielbritānija, Norvēģija, Polija, Rumānija, Slovēnija, Somija, Spānija, Ungārija
Bivalirudin Beļģija, Dānija, Lielbritānija, Slovēnija, Somija, Vācija, Zviedrija
Bivalirudina Itālija, Spānija
Literatūras saraksts   Injekcija   Literatūras saraksts : Bivalirudin  
tips publicēšana
1713 Žurnāls Trissel LA, Saenz CA.
Compatibility screening of bivalirudin during simulated Y-site administration with other drugs.
Int J Pharm Compound 2002 ; 6: 311-315.
1944 Žurnāls Hartman CA, Faria CE, Mago K.
Visual compatibility of bivalirudin with selected drugs.
Am J Health-Syst Pharm 2004 ; 61: 1774.
3539 Laboratorija Bivalirudin (Angiox®) - Summary of Product Characteristics.
The Medecines Company 2013

  Mentions Légales