Останнє оновлення :
25/03/2026
Антикоагулянти   Bivalirudin  
ін'єкція
Стійкість в розчинах Стійкість сумішей Фактори, що впливають на стабільність Сумісність Шлях введення Список літератури pdf
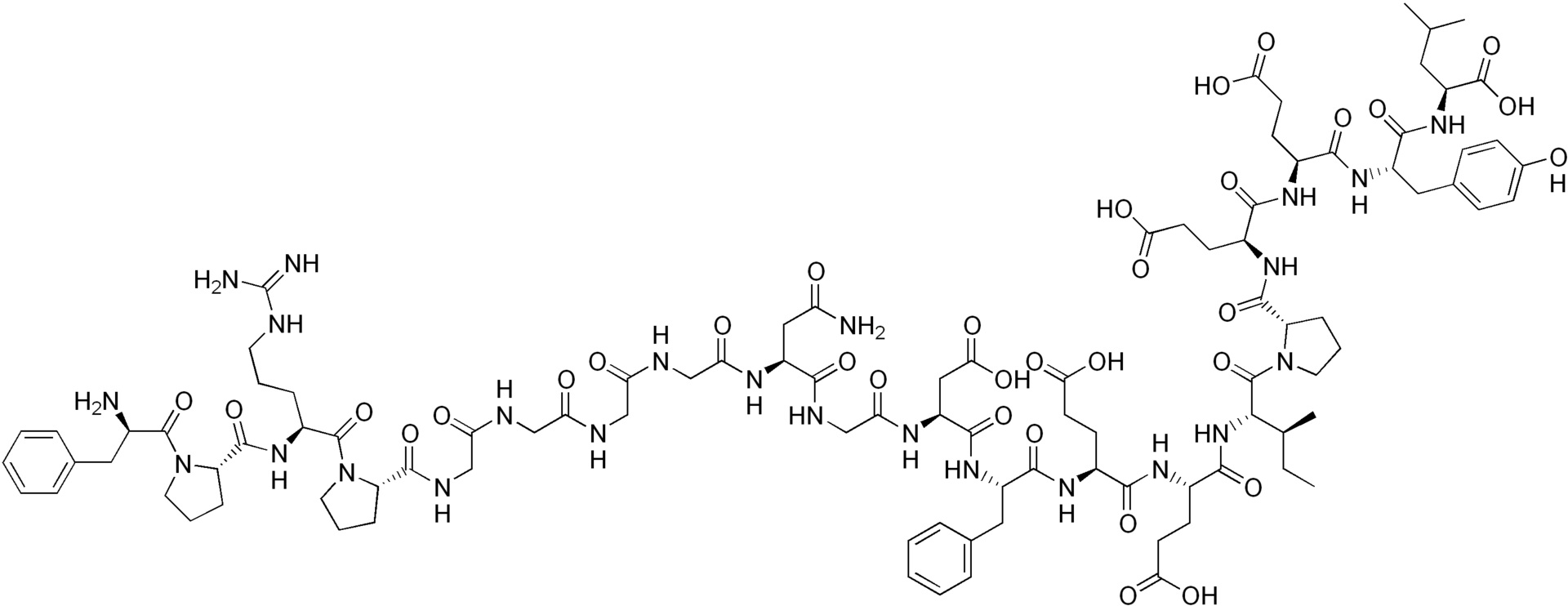
   Хімічна структура  

Торгова назва   Торгова назва     

Торгові назви є орієнтовними, а склад допоміжних речовин може бути різним залежно від країни та виробника

Amuprux Аргентина
Angiomax Австралія, Венесуела, Канада, Нова Зеландія, Перу, Сполучені Штати Америки, Чилі
Angiox Ісландія, Іспанія, Італія, Австрія, Великобританія, Греція, Данія, Нідерланди, Норвегія, Польща, Румунія, Словенія, Сполучені Штати Америки, Угорщина, Фінляндія
Bivalirudin Бельгія, Великобританія, Данія, Німеччина, Словенія, Фінляндія, Швеція
Bivalirudina Іспанія, Італія
Список літератури   ін'єкція   Список літератури : Bivalirudin  
Тип Публікація
1713 журнал Trissel LA, Saenz CA.
Compatibility screening of bivalirudin during simulated Y-site administration with other drugs.
Int J Pharm Compound 2002 ; 6: 311-315.
1944 журнал Hartman CA, Faria CE, Mago K.
Visual compatibility of bivalirudin with selected drugs.
Am J Health-Syst Pharm 2004 ; 61: 1774.
3539 Виробник Bivalirudin (Angiox®) - Summary of Product Characteristics.
The Medecines Company 2013

  Mentions Légales