Viimeisin päivitys :
25/03/2026
Antikoagulantit   Bivalirudin  
Injektioneste
Stabilius liuoksessa Stabilius seoksissa Tekijät, jotka vaikuttavat stabiliuteen Yhteensopivuus Antotapa Viitteet pdf
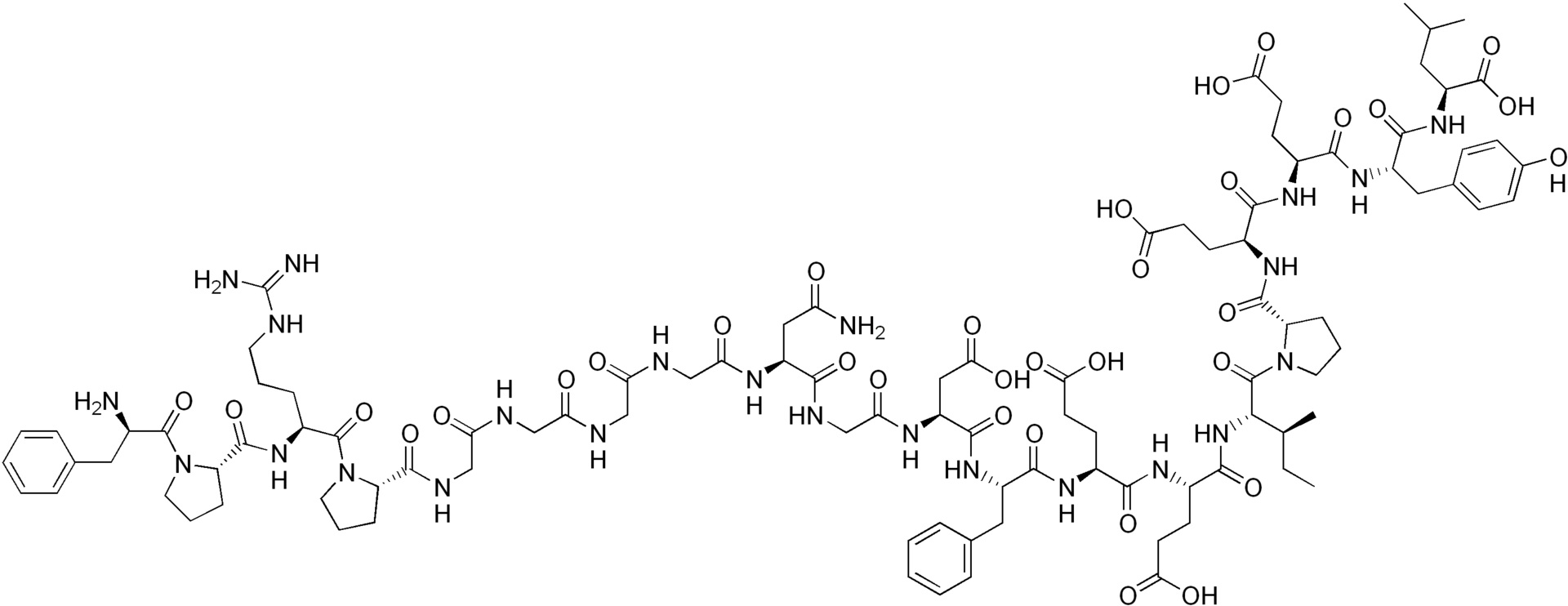
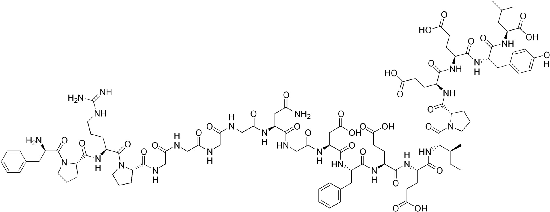
   Kemiallinen rakenne  

Kauppanimi   Kauppanimi     

Trade names are indicative and excipients composition can be different depending on the country and manufacturers

Amuprux Argentiina
Angiomax Australia, Chile, Kanada, Marokko, New Zealand, Venezuela, Yhdysvallat
Angiox Espanja, Hollanti, Islanti, Iso-Britannia, Italia, Itävalta, Kreikka, Norja, Puola, Romania, Slovenia, Suomi, Tanska, Unkari, Yhdysvallat
Bivalirudin Belgia, Iso-Britannia, Ruotsi, Saksa, Slovenia, Suomi, Tanska
Bivalirudina Espanja, Italia
Viitteet   Injektioneste   Viitteet : Bivalirudin  
tyyppi julkaisu
1713 Lehti Trissel LA, Saenz CA.
Compatibility screening of bivalirudin during simulated Y-site administration with other drugs.
Int J Pharm Compound 2002 ; 6: 311-315.
1944 Lehti Hartman CA, Faria CE, Mago K.
Visual compatibility of bivalirudin with selected drugs.
Am J Health-Syst Pharm 2004 ; 61: 1774.
3539 Laboratorio Bivalirudin (Angiox®) - Summary of Product Characteristics.
The Medecines Company 2013

  Mentions Légales