Última actualização :
25/03/2026
Anticoagulante   Bivalirudin  
injetável
Estabilidade em soluções simples Estabilidade em misturas Factores que afectam a sua estabilidade Compatibilidade Método de administração Bibliografía pdf
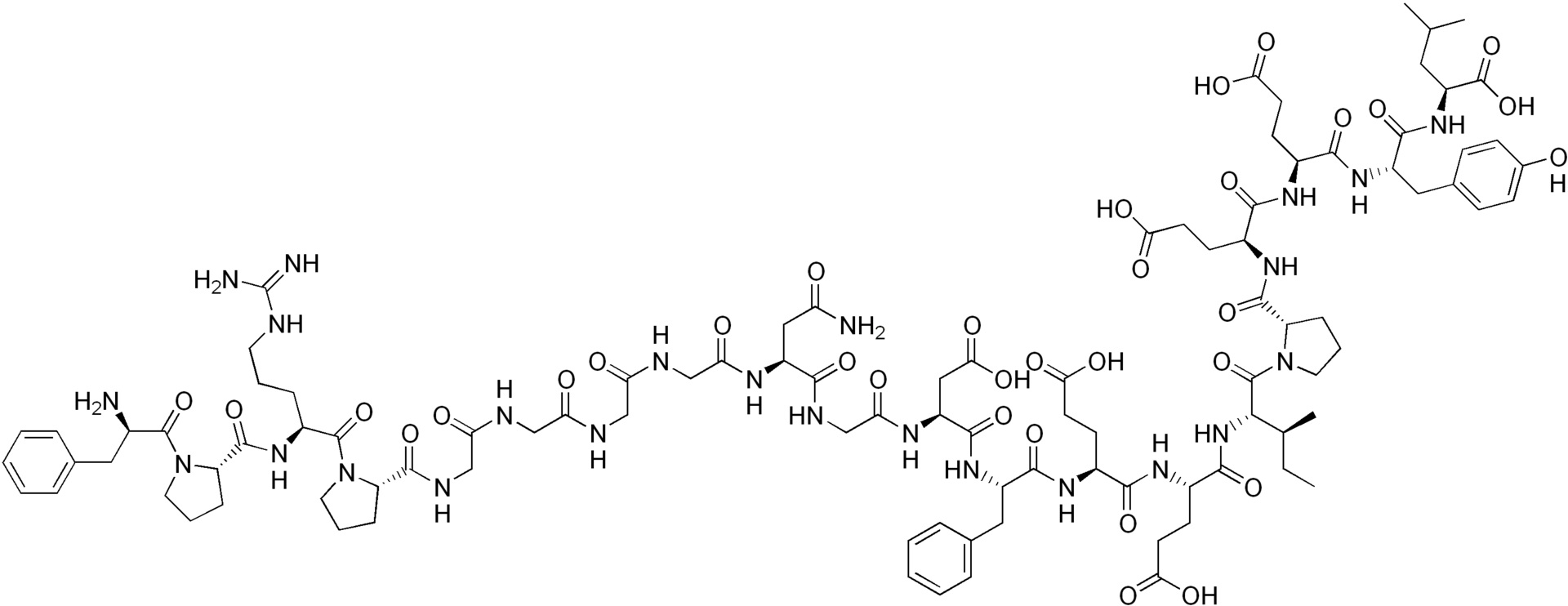
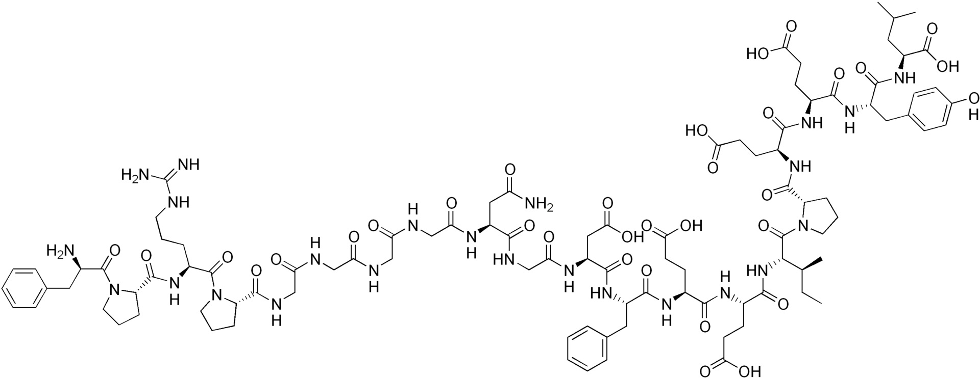
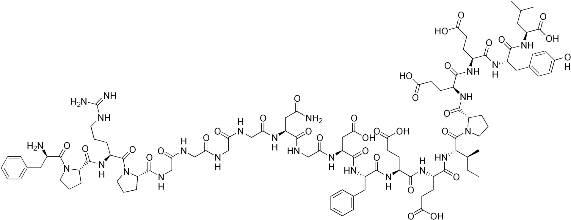
   estrutura química  

Nomes comerciais nos diversos países   Nomes comerciais nos diversos países     

OS NOMES COMERCIAIS SÃO INDICATIVOS E OS EXCIPIENTES DA FORMULAÇÃO PODEM SER DIFERENTES CONFORME O PAÍS E FABRICANTE.

Amuprux Argentina
Angiomax Australia, Canadá, Chilli, Estados Unidos de América, nova Zelândia, Peru, Venezuela
Angiox Austria, Dinamarca, Eslovenia, Espanha, Estados Unidos de América, Finlandia, Gran-bretanha, Grècia, Hungria, Islandia, Itália, Noruega, Países Baixos, Polonia, Romènia
Bivalirudin Alemanha, Bélgica, Dinamarca, Eslovenia, Finlandia, Gran-bretanha, Suècia
Bivalirudina Espanha, Itália
Bibliografía   injetável   Bibliografía : Bivalirudin  
tipo publicação
1713 jornal Trissel LA, Saenz CA.
Compatibility screening of bivalirudin during simulated Y-site administration with other drugs.
Int J Pharm Compound 2002 ; 6: 311-315.
1944 jornal Hartman CA, Faria CE, Mago K.
Visual compatibility of bivalirudin with selected drugs.
Am J Health-Syst Pharm 2004 ; 61: 1774.
3539 Laboratório Bivalirudin (Angiox®) - Summary of Product Characteristics.
The Medecines Company 2013

  Mentions Légales